6 अंक हेक्स कोड दर्ज करें या लाल, हरे और नीले रंग के स्तर (0..255) दर्ज करें और कन्वर्ट बटन दबाएं:
आर , जी , बी मान 255 से विभाजित कर रहे 0..255 से 0..1 को सीमा बदलने के लिए:
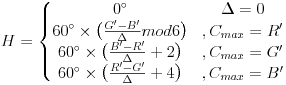
आर '= आर / 255
जी ’= जी / २५५
बी '= बी / 255
सीमैक्स = अधिकतम ( आर ', जी ', बी ')
सीमिन = मिनट ( आर ', जी ', बी ')
Δ = Cmax - Cmin
रंग गणना:

संतृप्ति गणना:

मूल्य गणना:
V = सीमैक्स
| रंग | रंग नाम |
हेक्स | (आर, जी, बी) | (एच, एस, वी) |
|---|---|---|---|---|
| काली | # 000000 | (0,0,0) | (0 °, 0%, 0%) | |
| सफेद | #FFFFFF | (255,255,255) | (0 °, 0%, 100%) | |
| लाल | # FF0000 | (255,0,0) | (0 डिग्री, 100%, 100%) | |
| चूना | # 00FF00 | (0,255,0) | (120 डिग्री, 100%, 100%) | |
| नीला | # 0000FF | (0,0,255) | (240 °, 100%, 100%) | |
| पीला | # FFFF00 | (255,255,0) | (60 °, 100%, 100%) | |
| सियान | # 00FFFF | (0,255,255) | (180 °, 100%, 100%) | |
| मैजेंटा | # FF00FF | (255,0,255) | (300 °, 100%, 100%) | |
| चांदी | #BFBFBF | (191,191,191) | (0 °, 0%, 75%) | |
| धूसर | # 808,080 | (128,128,128) | (0 °, 0%, 50%) | |
| लाल रंग | # 800000 | (128,0,0) | (0 डिग्री, 100%, 50%) | |
| जैतून | # 808,000 | (128,128,0) | (60 °, 100%, 50%) | |
| हरा | # 008000 | (0,128,0) | (120 डिग्री, 100%, 50%) | |
| बैंगनी | # 800,080 | (128,0,128) | (300 °, 100%, 50%) | |
| टील | # 008,080 | (0,128,128) | (180 °, 100%, 50%) | |
| नौसेना | # 000,080 | (0,0,128) | (240 °, 100%, 50%) |
Advertising