Distribusi normal adalah distribusi probabilitas kontinu. Ini juga disebut distribusi Gaussian.
Fungsi kerapatan distribusi normal f (z) disebut Kurva Lonceng karena memiliki bentuk yang menyerupai lonceng.
Tabel distribusi normal standar digunakan untuk mencari area di bawah fungsi f ( z ) untuk menemukan probabilitas rentang distribusi tertentu.
Ketika variabel acak X berdistribusi normal,
 


Fungsi kepadatan probabilitas dan fungsi distribusi kumulatif dari distribusi normal:
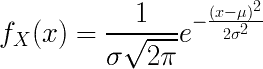
Fungsi kepadatan probabilitas diberikan oleh:
					
X adalah variabel acak.
μ adalah nilai rata-rata.
σ adalah nilai deviasi standar (std).
e = 2,7182818 ... konstan.
π = 3,1415926 ... konstan.
Fungsi distribusi kumulatif diberikan oleh:
					
X adalah variabel acak.
μ adalah nilai rata-rata.
σ adalah nilai deviasi standar (std).
e = 2,7182818 ... konstan.
π = 3,1415926 ... konstan.
Kapan
					
					
Kemudian fungsi kepadatan probabilitas dan fungsi distribusi kumulatif dari distribusi normal standar:
					
					
| z | Φ ( z ) | φ ( z ) | 
|---|---|---|
| 0,00 | 0,5000 | 0,3989 | 
| 0,01 | 0,5040 | 0,3989 | 
| 0,02 | 0,5080 | 0,3989 | 
| 0,03 | 0,5120 | 0.3988 | 
| 0,04 | 0,5160 | 0,3986 | 
| 0,05 | 0,5199 | 0,3984 | 
| 0,06 | 0,5239 | 0,3982 | 
| 0,07 | 0,5279 | 0.3980 | 
| 0,08 | 0,5319 | 0.3977 | 
| 0,09 | 0,5359 | 0,3973 | 
| 0.10 | 0,5398 | 0.3970 | 
| 0.11 | 0,5438 | 0,3965 | 
| 0.12 | 0,5478 | 0,3961 | 
| 0.13 | 0,5517 | 0,3956 | 
| 0.14 | 0,5557 | 0,3951 | 
| 0.15 | 0,5596 | 0.3945 | 
| 0.16 | 0,5636 | 0.3939 | 
| 0.17 | 0,5675 | 0.3932 | 
| 0.18 | 0,5714 | 0.3925 | 
| 0.19 | 0,5753 | 0.3918 | 
| 0.20 | 0,5793 | 0.3910 | 
| 0.21 | 0,5832 | 0,3902 | 
| 0.22 | 0,5871 | 0,3894 | 
| 0.23 | 0,5910 | 0,3885 | 
| 0.24 | 0,5948 | 0,3876 | 
| 0.25 | 0,5987 | 0.3867 | 
| 0.26 | 0.6026 | 0,3857 | 
| 0.27 | 0.6064 | 0.3847 | 
| 0.28 | 0.6103 | 0.3836 | 
| 0.29 | 0,6141 | 0.3825 | 
| 0.30 | 0,6179 | 0.3814 | 
| 0.31 | 0.6217 | 0,3802 | 
| 0.32 | 0,6255 | 0,3790 | 
| 0.33 | 0,6293 | 0,3778 | 
| 0.34 | 0.6331 | 0,3765 | 
| 0.35 | 0.6368 | 0,3752 | 
| 0.36 | 0,6406 | 0.3739 | 
| 0.37 | 0.6443 | 0.3725 | 
| 0.38 | 0.6480 | 0.3712 | 
| 0.39 | 0.6517 | 0,3697 | 
| 0.40 | 0,6554 | 0,3683 | 
| 0.41 | 0.6591 | 0.3668 | 
| 0.42 | 0.6628 | 0,3653 | 
| 0.43 | 0.6664 | 0.3637 | 
| 0.44 | 0,6700 | 0.3621 | 
| 0.45 | 0.6736 | 0,3605 | 
| 0.46 | 0.6772 | 0.3589 | 
| 0.47 | 0.6808 | 0.3572 | 
| 0.48 | 0.6844 | 0,3555 | 
| 0.49 | 0,6879 | 0.3538 | 
| 0,50 | 0.6915 | 0.3521 | 
| 0,51 | 0.6950 | 0.3503 | 
| 0,52 | 0.6985 | 0,3485 | 
| 0,53 | 0.7019 | 0,3467 | 
| 0,54 | 0.7054 | 0.3448 | 
| 0,55 | 0.7088 | 0.3429 | 
| 0,56 | 0.7123 | 0,3410 | 
| 0,57 | 0.7157 | 0.3391 | 
| 0,58 | 0.7190 | 0,3372 | 
| 0,59 | 0.7224 | 0,3352 | 
| 0.60 | 0.7257 | 0.3332 | 
| 0.61 | 0.7291 | 0.3312 | 
| 0.62 | 0.7324 | 0,3292 | 
| 0.63 | 0.7357 | 0,3271 | 
| 0.64 | 0.7389 | 0,3251 | 
| 0.65 | 0.7422 | 0.3230 | 
| 0.66 | 0.7454 | 0,3209 | 
| 0.67 | 0.7486 | 0,3187 | 
| 0.68 | 0.7517 | 0,3166 | 
| 0.69 | 0.7549 | 0,3144 | 
| 0.70 | 0.7580 | 0,3123 | 
| 0.71 | 0.7611 | 0.3101 | 
| 0.72 | 0.7642 | 0.3079 | 
| 0.73 | 0.7673 | 0.3056 | 
| 0.74 | 0.7704 | 0.3034 | 
| 0.75 | 0.7734 | 0.3011 | 
| 0.76 | 0.7764 | 0,2989 | 
| 0.77 | 0.7794 | 0.2966 | 
| 0.78 | 0.7823 | 0.2943 | 
| 0.79 | 0.7852 | 0.2920 | 
| 0.80 | 0.7881 | 0.2897 | 
| 0.81 | 0.7910 | 0,2874 | 
| 0.82 | 0.7939 | 0.2850 | 
| 0.83 | 0.7967 | 0.2827 | 
| 0.84 | 0,7995 | 0.2803 | 
| 0.85 | 0.8023 | 0.2780 | 
| 0.86 | 0.8051 | 0,2756 | 
| 0.87 | 0.8078 | 0.2732 | 
| 0.88 | 0.8106 | 0,2709 | 
| 0.89 | 0.8133 | 0,2685 | 
| 0.90 | 0.8159 | 0,2661 | 
| 0.91 | 0.8186 | 0.2637 | 
| 0.92 | 0.8212 | 0.2613 | 
| 0.93 | 0.8238 | 0.2589 | 
| 0.94 | 0.8264 | 0.2565 | 
| 0.95 | 0.8289 | 0.2541 | 
| 0.96 | 0.8315 | 0.2516 | 
| 0.97 | 0.8340 | 0.2492 | 
| 0.98 | 0.8365 | 0.2468 | 
| 0,99 | 0.8389 | 0.2444 | 
| 1.00 | 0.8413 | 0.2420 | 
| 1.01 | 0.8438 | 0.2396 | 
| 1.02 | 0.8461 | 0,2371 | 
| 1.03 | 0.8485 | 0,2347 | 
| 1.04 | 0.8508 | 0,2323 | 
| 1.05 | 0.8531 | 0.2299 | 
| 1.06 | 0.8554 | 0.2275 | 
| 1.07 | 0.8577 | 0,2251 | 
| 1.08 | 0.8599 | 0.2227 | 
| 1.09 | 0.8621 | 0.2203 | 
| 1.10 | 0.8643 | 0,2179 | 
| 1.11 | 0.8665 | 0.2155 | 
| 1.12 | 0.8686 | 0.2131 | 
| 1.13 | 0.8708 | 0.2107 | 
| 1.14 | 0.8729 | 0,2083 | 
| 1.15 | 0.8749 | 0.2059 | 
| 1.16 | 0.8770 | 0,2036 | 
| 1.17 | 0.8790 | 0.2012 | 
| 1.18 | 0.8810 | 0.1989 | 
| 1.19 | 0.8830 | 0.1965 | 
| 1.20 | 0.8849 | 0.1942 | 
| 1.21 | 0.8869 | 0.1919 | 
| 1.22 | 0.8888 | 0.1895 | 
| 1.23 | 0.8907 | 0.1872 | 
| 1.24 | 0.8925 | 0.1849 | 
| 1.25 | 0.8944 | 0.1826 | 
| 1.26 | 0.8962 | 0.1804 | 
| 1.27 | 0.8980 | 0.1781 | 
| 1.28 | 0.8997 | 0.1758 | 
| 1.29 | 0,9015 | 0.1736 | 
| 1.30 | 0,9032 | 0.1714 | 
| 1.31 | 0,9049 | 0.1691 | 
| 1.32 | 0,9066 | 0.1669 | 
| 1.33 | 0,9082 | 0.1647 | 
| 1.34 | 0,9099 | 0.1626 | 
| 1.35 | 0,9115 | 0.1604 | 
| 1.36 | 0,9131 | 0.1582 | 
| 1.37 | 0,9147 | 0.1561 | 
| 1.38 | 0,9162 | 0.1539 | 
| 1.39 | 0,9177 | 0.1518 | 
| 1.40 | 0,9192 | 0.1497 | 
| 1.41 | 0,9207 | 0.1476 | 
| 1.42 | 0,9222 | 0,1456 | 
| 1.43 | 0,9236 | 0.1435 | 
| 1.44 | 0,9251 | 0.1415 | 
| 1.45 | 0,9265 | 0.1394 | 
| 1.46 | 0,9279 | 0.1374 | 
| 1.47 | 0,9292 | 0.1354 | 
| 1.48 | 0,9306 | 0.1334 | 
| 1.49 | 0,9319 | 0.1315 | 
| 1.50 | 0,9332 | 0.1295 | 
| 1.51 | 0,9345 | 0.1276 | 
| 1.52 | 0,9357 | 0.1257 | 
| 1.53 | 0.9370 | 0.1238 | 
| 1.54 | 0,9382 | 0.1219 | 
| 1.55 | 0,9394 | 0.1200 | 
| 1.56 | 0,9406 | 0.1182 | 
| 1.57 | 0,9418 | 0.1163 | 
| 1.58 | 0,9429 | 0.1145 | 
| 1.59 | 0,9441 | 0.1127 | 
| 1.60 | 0,9452 | 0.1109 | 
| 1.61 | 0,9463 | 0.1092 | 
| 1.62 | 0,9474 | 0.1074 | 
| 1.63 | 0,9484 | 0.1057 | 
| 1.64 | 0,9495 | 0.1040 | 
| 1.65 | 0,9505 | 0.1023 | 
| 1.66 | 0,9515 | 0.1006 | 
| 1.67 | 0,9525 | 0,0989 | 
| 1.68 | 0,9535 | 0,0973 | 
| 1.69 | 0,9545 | 0,0957 | 
| 1.70 | 0,9554 | 0,0940 | 
| 1.71 | 0,9564 | 0,0925 | 
| 1.72 | 0.9573 | 0,0909 | 
| 1.73 | 0,9582 | 0,0893 | 
| 1.74 | 0.9591 | 0,0878 | 
| 1.75 | 0,9599 | 0,0863 | 
| 1.76 | 0,9608 | 0,0848 | 
| 1.77 | 0,9616 | 0,0833 | 
| 1.78 | 0,9625 | 0,0818 | 
| 1.79 | 0,9633 | 0,0804 | 
| 1.80 | 0,9641 | 0,0790 | 
| 1.81 | 0,9649 | 0,0775 | 
| 1.82 | 0,9656 | 0,0761 | 
| 1.83 | 0,9664 | 0,0748 | 
| 1.84 | 0,9671 | 0,0734 | 
| 1.85 | 0,9678 | 0,0721 | 
| 1.86 | 0,9686 | 0,0707 | 
| 1.87 | 0,9693 | 0,0694 | 
| 1.88 | 0,9699 | 0,0681 | 
| 1.89 | 0,9706 | 0,0669 | 
| 1.90 | 0.9713 | 0,0656 | 
| 1.91 | 0,9719 | 0,0644 | 
| 1.92 | 0,9726 | 0,0632 | 
| 1.93 | 0.9732 | 0,0620 | 
| 1.94 | 0.9738 | 0,0608 | 
| 1.95 | 0.9744 | 0.0596 | 
| 1.96 | 0.9750 | 0,0584 | 
| 1.97 | 0,9756 | 0.0573 | 
| 1.98 | 0,9761 | 0.0562 | 
| 1.99 | 0,9767 | 0,0551 | 
| 2.00 | 0.9772 | 0.0540 | 
| 2.01 | 0,9778 | 0.0529 | 
| 2.02 | 0.9783 | 0.0519 | 
| 2.03 | 0.9788 | 0,0508 | 
| 2.04 | 0.9793 | 0,0498 | 
| 2.05 | 0.9798 | 0,0488 | 
| 2.06 | 0,9803 | 0,0478 | 
| 2.07 | 0,9808 | 0,0468 | 
| 2.08 | 0,9812 | 0,0459 | 
| 2.09 | 0,9817 | 0,0449 | 
| 2.10 | 0,9821 | 0,0440 | 
| 2.11 | 0,9826 | 0,0431 | 
| 2.12 | 0,9830 | 0,0422 | 
| 2.13 | 0,9834 | 0,0413 | 
| 2.14 | 0.9838 | 0,0404 | 
| 2.15 | 0,9842 | 0,0396 | 
| 2.16 | 0,9846 | 0,0387 | 
| 2.17 | 0,9850 | 0,0379 | 
| 2.18 | 0,9854 | 0,0371 | 
| 2.19 | 0,9857 | 0,0363 | 
| 2.20 | 0,9861 | 0,0355 | 
| 2.21 | 0,9864 | 0,0347 | 
| 2.22 | 0.9868 | 0,0339 | 
| 2.23 | 0.9871 | 0,0332 | 
| 2.24 | 0,9875 | 0,0325 | 
| 2.25 | 0,9878 | 0,0317 | 
| 2.26 | 0,9881 | 0,0310 | 
| 2.27 | 0,9884 | 0,0303 | 
| 2.28 | 0,9887 | 0,0297 | 
| 2.29 | 0,9890 | 0,0290 | 
| 2.30 | 0,9893 | 0,0283 | 
| 2.31 | 0,9896 | 0,0277 | 
| 2.32 | 0,9898 | 0,0270 | 
| 2.33 | 0,9901 | 0,0264 | 
| 2.34 | 0,9904 | 0,0258 | 
| 2.35 | 0,9906 | 0,0252 | 
| 2.36 | 0,9909 | 0,0246 | 
| 2.37 | 0,9911 | 0,0241 | 
| 2.38 | 0,9913 | 0,0235 | 
| 2.39 | 0,9916 | 0,0229 | 
| 2.40 | 0.9918 | 0,0224 | 
| 2.41 | 0,9920 | 0,0219 | 
| 2.42 | 0,9922 | 0,0213 | 
| 2.43 | 0,9925 | 0,0208 | 
| 2.44 | 0,9927 | 0,0203 | 
| 2.45 | 0,9929 | 0,0198 | 
| 2.46 | 0.9931 | 0,0194 | 
| 2.47 | 0,9932 | 0,0189 | 
| 2.48 | 0,9934 | 0,0184 | 
| 2.49 | 0,9936 | 0,0180 | 
| 2.50 | 0.9938 | 0,0175 | 
| 2.51 | 0,9940 | 0,0171 | 
| 2.52 | 0.9941 | 0,0167 | 
| 2.53 | 0.9943 | 0,0163 | 
| 2.54 | 0,9945 | 0,0158 | 
| 2.55 | 0,9946 | 0,0154 | 
| 2.56 | 0,9948 | 0,0151 | 
| 2.57 | 0,9949 | 0,0147 | 
| 2.58 | 0.9951 | 0,0143 | 
| 2.59 | 0,9952 | 0,0139 | 
| 2.60 | 0,9953 | 0,0136 | 
| 2.61 | 0,9955 | 0,0132 | 
| 2.62 | 0,9956 | 0,0129 | 
| 2.63 | 0,9957 | 0,0126 | 
| 2.64 | 0,9959 | 0,0122 | 
| 2.65 | 0,9960 | 0,0119 | 
| 2.66 | 0,9961 | 0,0116 | 
| 2.67 | 0.9962 | 0,0113 | 
| 2.68 | 0.9963 | 0,0110 | 
| 2.69 | 0,9964 | 0,0107 | 
| 2.70 | 0,9965 | 0,0104 | 
| 2.71 | 0.9966 | 0,0101 | 
| 2.72 | 0,9967 | 0,0099 | 
| 2.73 | 0.9968 | 0,0096 | 
| 2.74 | 0,9969 | 0,0093 | 
| 2.75 | 0,9970 | 0,0091 | 
| 2.76 | 0.9971 | 0,0088 | 
| 2.77 | 0.9972 | 0,0086 | 
| 2.78 | 0.9973 | 0,0084 | 
| 2.79 | 0,9974 | 0,0081 | 
| 2.80 | 0,9974 | 0,0079 | 
| 2.81 | 0,9975 | 0,0077 | 
| 2.82 | 0.9976 | 0,0075 | 
| 2.83 | 0,9977 | 0,0073 | 
| 2.84 | 0,9977 | 0,0071 | 
| 2.85 | 0.9978 | 0,0069 | 
| 2.86 | 0,9979 | 0,0067 | 
| 2.87 | 0,9979 | 0,0065 | 
| 2.88 | 0,9980 | 0,0063 | 
| 2.89 | 0,9981 | 0,0061 | 
| 2.90 | 0,9981 | 0,0060 | 
| 2.91 | 0,9982 | 0,0058 | 
| 2.92 | 0,9982 | 0,0056 | 
| 2.93 | 0.9983 | 0,0055 | 
| 2.94 | 0,9984 | 0,0053 | 
| 2.95 | 0,9984 | 0,0051 | 
| 2.96 | 0,9985 | 0,0050 | 
| 2.97 | 0,9985 | 0,0048 | 
| 2.98 | 0.9986 | 0,0047 | 
| 2.99 | 0.9986 | 0,0046 | 
| 3.00 | 0,9987 | 0,0044 | 
| 3.01 | 0,9987 | 0,0043 | 
| 3.02 | 0,9987 | 0,0042 | 
| 3.03 | 0.9988 | 0,0040 | 
| 3.04 | 0.9988 | 0,0039 | 
| 3.05 | 0.9989 | 0,0038 | 
| 3.06 | 0.9989 | 0,0037 | 
| 3.07 | 0.9989 | 0,0036 | 
| 3.08 | 0,9990 | 0,0035 | 
| 3.09 | 0,9990 | 0,0034 | 
| 3.10 | 0,9990 | 0,0033 | 
| 3.11 | 0,9991 | 0,0032 | 
| 3.12 | 0,9991 | 0,0031 | 
| 3.13 | 0,9991 | 0,0030 | 
| 3.14 | 0,9992 | 0,0029 | 
| 3.15 | 0,9992 | 0,0028 | 
| 3.16 | 0,9992 | 0,0027 | 
| 3.17 | 0,9992 | 0,0026 | 
| 3.18 | 0,9993 | 0,0025 | 
| 3.19 | 0,9993 | 0,0025 | 
| 3.20 | 0,9993 | 0,0024 | 
| 3.21 | 0,9993 | 0,0023 | 
| 3.22 | 0,9994 | 0,0022 | 
| 3.23 | 0,9994 | 0,0022 | 
| 3.24 | 0,9994 | 0,0021 | 
| 3.25 | 0,9994 | 0,0020 | 
| 3.26 | 0,9994 | 0,0020 | 
| 3.27 | 0,9995 | 0,0019 | 
| 3.28 | 0,9995 | 0,0018 | 
| 3.29 | 0,9995 | 0,0018 | 
| 3.30 | 0,9995 | 0,0017 | 
| 3.31 | 0,9995 | 0,0017 | 
| 3.32 | 0,9995 | 0,0016 | 
| 3.33 | 0,9996 | 0,0016 | 
| 3.34 | 0,9996 | 0,0015 | 
| 3.35 | 0,9996 | 0,0015 | 
| 3.36 | 0,9996 | 0,0014 | 
| 3.37 | 0,9996 | 0,0014 | 
| 3.38 | 0,9996 | 0,0013 | 
| 3.39 | 0,9997 | 0,0013 | 
| 3.40 | 0,9997 | 0,0012 | 
| 3.41 | 0,9997 | 0,0012 | 
| 3.42 | 0,9997 | 0,0012 | 
| 3.43 | 0,9997 | 0,0011 | 
| 3.44 | 0,9997 | 0,0011 | 
| 3.45 | 0,9997 | 0,0010 | 
| 3.46 | 0,9997 | 0,0010 | 
| 3.47 | 0,9998 | 0,0010 | 
| 3.48 | 0,9998 | 0,0009 | 
| 3.49 | 0,9998 | 0,0009 | 
| 3.50 | 0,9998 | 0,0009 | 
| 3.51 | 0,9998 | 0,0008 | 
| 3.52 | 0,9998 | 0,0008 | 
| 3.53 | 0,9998 | 0,0008 | 
| 3.54 | 0,9998 | 0,0008 | 
| 3.55 | 0,9998 | 0,0007 | 
| 3.56 | 0,9998 | 0,0007 | 
| 3.57 | 0,9998 | 0,0007 | 
| 3.58 | 0,9998 | 0,0007 | 
| 3.59 | 0,9998 | 0,0006 | 
| 3.60 | 0,9998 | 0,0006 | 
| 3.61 | 0,9998 | 0,0006 | 
| 3.62 | 0,9999 | 0,0006 | 
| 3.63 | 0,9999 | 0,0005 | 
| 3.64 | 0,9999 | 0,0005 | 
| 3.65 | 0,9999 | 0,0005 | 
| 3.66 | 0,9999 | 0,0005 | 
| 3.67 | 0,9999 | 0,0005 | 
| 3.68 | 0,9999 | 0,0005 | 
| 3.69 | 0,9999 | 0,0004 | 
| 3.70 | 0,9999 | 0,0004 | 
| 3.71 | 0,9999 | 0,0004 | 
| 3.72 | 0,9999 | 0,0004 | 
| 3.73 | 0,9999 | 0,0004 | 
| 3.74 | 0,9999 | 0,0004 | 
| 3.75 | 0,9999 | 0,0004 | 
| 3.76 | 0,9999 | 0,0003 | 
| 3.77 | 0,9999 | 0,0003 | 
| 3.78 | 0,9999 | 0,0003 | 
| 3.79 | 0,9999 | 0,0003 | 
| 3.80 | 0,9999 | 0,0003 | 
| 3.81 | 0,9999 | 0,0003 | 
| 3.82 | 0,9999 | 0,0003 | 
| 3.83 | 0,9999 | 0,0003 | 
| 3.84 | 0,9999 | 0,0003 | 
| 3.85 | 0,9999 | 0,0002 | 
| 3.86 | 0,9999 | 0,0002 | 
| 3.87 | 0,9999 | 0,0002 | 
| 3.88 | 0,9999 | 0,0002 | 
| 3.89 | 0,9999 | 0,0002 | 
| 3.90 | 1.0000 | 0,0002 | 
| 3.91 | 1.0000 | 0,0002 | 
| 3.92 | 1.0000 | 0,0002 | 
| 3.93 | 1.0000 | 0,0002 | 
| 3.94 | 1.0000 | 0,0002 | 
| 3.95 | 1.0000 | 0,0002 | 
| 3.96 | 1.0000 | 0,0002 | 
| 3.97 | 1.0000 | 0,0002 | 
| 3.98 | 1.0000 | 0,0001 | 
| 3.99 | 1.0000 | 0,0001 | 
 
Advertising