Definizione e calcoli della resistenza elettrica.
La resistenza è una grandezza elettrica che misura il modo in cui il dispositivo o il materiale riduce il flusso di corrente elettrica attraverso di esso.
La resistenza viene misurata in unità di ohm (Ω).
Se facciamo un'analogia con il flusso dell'acqua nei tubi, la resistenza è maggiore quando il tubo è più sottile, quindi il flusso dell'acqua diminuisce.
La resistenza di un conduttore è la resistività del materiale del conduttore moltiplicata per la lunghezza del conduttore divisa per l'area della sezione trasversale del conduttore.
![]()
R è la resistenza in ohm (Ω).
ρ è la resistività in ohm-metro (Ω × m)
l è la lunghezza del conduttore in metri (m)
A è l'area della sezione trasversale del conduttore in metri quadrati (m 2 )
È facile capire questa formula con l'analogia dei tubi dell'acqua:
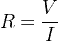
![]()
R è la resistenza del resistore in ohm (Ω).
V è la caduta di tensione sul resistore in volt (V).
I è la corrente del resistore in ampere (A).
La resistenza di un resistore aumenta quando la temperatura del resistore aumenta.
R 2 = R 1 × (1 + α ( T 2 - T 1 ))
R 2 è la resistenza alla temperatura T 2 in ohm (Ω).
R 1 è la resistenza alla temperatura T 1 in ohm (Ω).
α è il coefficiente di temperatura.

La resistenza totale equivalente dei resistori in serie è la somma dei valori di resistenza:
R Totale = R 1 + R 2 + R 3 + ...

La resistenza totale equivalente delle resistenze in parallelo è data da:
![]()
La resistenza elettrica viene misurata con uno strumento ohmmetro.
Per misurare la resistenza di un resistore o di un circuito, il circuito deve avere l'alimentazione spenta.
L'ohmmetro dovrebbe essere collegato alle due estremità del circuito in modo che la resistenza possa essere letta.
La superconduttività è la caduta della resistenza a zero a temperature molto basse vicine a 0ºK.
Advertising