Che cosa sono i calcoli di condensatori e condensatori.
Il condensatore è un componente elettronico che immagazzina la carica elettrica . Il condensatore è costituito da 2 conduttori stretti (solitamente piastre) separati da un materiale dielettrico. Le piastre accumulano carica elettrica quando sono collegate alla fonte di alimentazione. Una piastra accumula carica positiva e l'altra piastra accumula carica negativa.
La capacità è la quantità di carica elettrica immagazzinata nel condensatore alla tensione di 1 Volt.
La capacità è misurata in unità di Farad (F).
Il condensatore disconnette la corrente nei circuiti a corrente continua (CC) e il cortocircuito nei circuiti a corrente alternata (CA).
![]()
Condensatore |
||
Condensatore polarizzato |
||
Condensatore variabile |
La capacità (C) del condensatore è uguale alla carica elettrica (Q) divisa per la tensione (V):
![]()
C è la capacità in farad (F)
Q è la carica elettrica in coulomb (C), che viene immagazzinata nel condensatore
V è la tensione tra le piastre del condensatore in volt (V)
La capacità (C) del condensatore a piastre è uguale alla permettività (ε) moltiplicata per l'area della piastra (A) divisa per lo spazio o la distanza tra le piastre (d):
![]()
C è la capacità del condensatore, in farad (F).
ε è la permettività del materiale dialettico del condensatore, in farad per metro (F / m).
A è l'area della piastra del condensatore in metri quadrati (m 2 ].
d è la distanza tra le piastre del condensatore, in metri (m).

La capacità totale dei condensatori in serie, C1, C2, C3, ..:
![]()

La capacità totale dei condensatori in parallelo, C1, C2, C3, ..:
C Totale = C 1 + C 2 + C 3 + ...
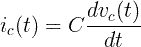
La corrente momentanea del condensatore i c (t) è uguale alla capacità del condensatore,
volte la derivata della tensione del condensatore momentaneo v c (t):
![]()
La tensione momentanea del condensatore v c (t) è uguale alla tensione iniziale del condensatore,
più 1 / C per l'integrale della corrente del condensatore momentaneo i c (t) nel tempo t:

L'energia immagazzinata nel condensatore E C in joule (J) è uguale alla capacità C in farad (F)
volte la tensione del condensatore quadrato V C in volt (V) diviso 2:
E C = C × V C 2 /2
ω = 2 π f
ω - velocità angolare misurata in radianti al secondo (rad / s)
f - frequenza misurata in hertz (Hz).
![]()
Forma cartesiana:
![]()
Forma polare:
Z C = X C ∟-90º
| Condensatore variabile | Il condensatore variabile ha una capacità variabile |
| Condensatore elettrolitico | I condensatori elettrolitici vengono utilizzati quando è necessaria un'elevata capacità. La maggior parte dei condensatori elettrolitici sono polarizzati |
| Condensatore sferico | Il condensatore sferico ha una forma a sfera |
| Condensatore di potenza | I condensatori di potenza sono utilizzati nei sistemi di alimentazione ad alta tensione. |
| Condensatore ceramico | Il condensatore ceramico ha materiale dielettrico ceramico. Ha funzionalità ad alta tensione. |
| Condensatore al tantalio | Materiale dielettrico in ossido di tantalio. Ha un'elevata capacità |
| Condensatore in mica | Condensatori ad alta precisione |
| Condensatore di carta | Materiale dielettrico di carta |
Advertising