Ce este calculatorul condensatorului și condensatorului.
Condensatorul este o componentă electronică care stochează sarcina electrică . Condensatorul este format din 2 conductori apropiați (de obicei plăci) care sunt separați de un material dielectric. Plăcile acumulează sarcină electrică atunci când sunt conectate la sursa de alimentare. O placă acumulează sarcină pozitivă iar cealaltă placă acumulează sarcină negativă.
Capacitatea este cantitatea de încărcare electrică stocată în condensator la tensiunea de 1 Volt.
Capacitatea este măsurată în unități de Farad (F).
Condensatorul deconectează curentul în circuitele de curent continuu (DC) și scurtcircuitul în circuitele de curent alternativ (AC).
![]()
Condensator |
||
Condensator polarizat |
||
Condensator variabil |
Capacitatea (C) a condensatorului este egală cu sarcina electrică (Q) împărțită la tensiunea (V):
![]()
C este capacitatea în farad (F)
Q este sarcina electrică în coulomb (C), care este stocată pe condensator
V este tensiunea dintre plăcile condensatorului în volți (V)
Capacitatea (C) condensatorului plăcilor este egală cu permitivitatea (ε) de ori aria plăcii (A) împărțită la decalajul sau distanța dintre plăci (d):
![]()
C este capacitatea condensatorului, în farad (F).
ε este permitivitatea materialului dialectic al condensatorului, în farad pe metru (F / m).
A este aria plăcii condensatorului în metri pătrați (m 2 ].
d este distanța dintre plăcile condensatorului, în metri (m).

Capacitatea totală a condensatoarelor în serie, C1, C2, C3, ..:
![]()

Capacitatea totală a condensatoarelor în paralel, C1, C2, C3, ..:
C Total = C 1 + C 2 + C 3 + ...
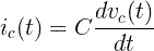
Curentul momentan al condensatorului i c (t) este egal cu capacitatea condensatorului,
ori derivata tensiunii condensatorului momentan v c (t):
![]()
Tensiunea momentană a condensatorului v c (t) este egală cu tensiunea inițială a condensatorului,
plus 1 / C ori integrala curentului momentan al condensatorului i c (t) în timp t:

Energia stocată a condensatorului E C în jouli (J) este egală cu capacitatea C din farad (F)
ori tensiunea condensatorului pătrat V C în volți (V) împărțită la 2:
E C = C × V C cu 2 / cu 2
ω = 2 π f
ω - viteza unghiulară măsurată în radiani pe secundă (rad / s)
f - frecvența măsurată în hertz (Hz).
![]()
Forma carteziană:
![]()
Forma polară:
Z C = X C ∟-90º
| Condensator variabil | Condensatorul variabil are o capacitate variabilă |
| Condensator electrolitic | Condensatoarele electrolitice sunt utilizate atunci când este nevoie de o capacitate mare. Majoritatea condensatorilor electrolitici sunt polarizați |
| Condensator sferic | Condensatorul sferic are o formă de sferă |
| Condensator de putere | Condensatoarele de putere sunt utilizate în sistemele de alimentare de înaltă tensiune. |
| Condensator ceramic | Condensatorul ceramic are material dielectric ceramic. Are funcționalitate de înaltă tensiune. |
| Condensator de tantal | Material dielectric oxid de tantal. Are capacitate mare |
| Condensator Mica | Condensatori de înaltă precizie |
| Condensator de hârtie | Hârtie material dielectric |
Advertising