ఇండక్టర్ అనేది విద్యుత్ భాగం, ఇది అయస్కాంత క్షేత్రంలో శక్తిని నిల్వ చేస్తుంది.
ప్రేరక తీగను నిర్వహించే కాయిల్తో తయారు చేస్తారు.
ఎలక్ట్రికల్ సర్క్యూట్ స్కీమాటిక్స్లో, ఇండక్టర్ L అక్షరంతో గుర్తించబడింది.
ఇండక్టెన్స్ హెన్రీ [L] యొక్క యూనిట్లలో కొలుస్తారు.
ఇండక్టర్ ఎసి సర్క్యూట్లలో కరెంట్ మరియు డిసి సర్క్యూట్లలో షార్ట్ సర్క్యూట్ తగ్గిస్తుంది.
![]()
ఇండక్టర్ |
|
ఐరన్ కోర్ ఇండక్టర్ |
|
వేరియబుల్ ఇండక్టర్ |
|
శ్రేణిలోని అనేక ప్రేరకాలకు మొత్తం సమానమైన ఇండక్టెన్స్:
L మొత్తం = L 1 + L 2 + L 3 + ...
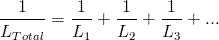
సమాంతరంగా అనేక ప్రేరకాలకు మొత్తం సమానమైన ఇండక్టెన్స్:
![]()
![]()

![]()
X L = .L
కార్టేసియన్ రూపం:
Z L = jX L = jωL
ధ్రువ రూపం:
Z L = X L ∠90º
Advertising