กฎและกฎหมายอนุพันธ์ ตารางอนุพันธ์ของฟังก์ชัน
อนุพันธ์ของฟังก์ชันคืออัตราส่วนของความแตกต่างของค่าฟังก์ชัน f (x) ที่จุด x + Δxและ x โดยมีΔxเมื่อΔxมีขนาดเล็กเพียงเล็กน้อย อนุพันธ์คือความชันของฟังก์ชันหรือความชันของเส้นสัมผัสที่จุด x
![]()
อนุพันธ์อันดับสองกำหนดโดย:
![]()
หรือเพียงแค่ได้รับอนุพันธ์แรก:
![]()
n TH อนุพันธ์คำนวณโดย deriving f (x) n ครั้ง
n TH อนุพันธ์เท่ากับที่มาของ (n-1) ตราสารอนุพันธ์:
f ( n ) ( x ) = [ f ( n -1) ( x )] '
หาอนุพันธ์อันดับสี่ของ
f ( x ) = 2 x 5
f (4) ( x ) = [2 x 5 ] '' '' = [10 x 4 ] '' '= [40 x 3 ]' '= [120 x 2 ]' = 240 x
อนุพันธ์ของฟังก์ชันคือสล็อปของเส้นสัมผัส
| กฎผลรวมอนุพันธ์ |
( af ( x ) + bg ( x )) '= af' ( x ) + bg ' ( x ) |
| กฎผลิตภัณฑ์อนุพันธ์ |
( f ( x ) ∙ ก ( x )) '= f' ( x ) ก ( x ) + f ( x ) ก ' ( x ) |
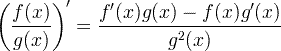
| กฎผลหารอนุพันธ์ |
![]() |
| กฎลูกโซ่อนุพันธ์ |
ฉ ( g ( x )) '= f' ( g ( x )) ∙ g ' ( x ) |
เมื่อaและbเป็นค่าคงที่
( af ( x ) + bg ( x )) '= af' ( x ) + bg ' ( x )
ค้นหาอนุพันธ์ของ:
3 x 2 + 4 x.
ตามกฎผลรวม:
a = 3, b = 4
f ( x ) = x 2 , ก ( x ) = x
f ' ( x ) = 2 x , ก' ( x ) = 1
(3 x 2 + 4 x ) '= 3⋅2 x + 4⋅1 = 6 x + 4
( f ( x ) ∙ ก ( x )) '= f' ( x ) ก ( x ) + f ( x ) ก ' ( x )

ฉ ( g ( x )) '= f' ( g ( x )) ∙ g ' ( x )
กฎนี้สามารถเข้าใจได้ดีขึ้นด้วยสัญกรณ์ของ Lagrange:
![]()
สำหรับΔxเล็กเราจะได้ค่าประมาณเป็น f (x 0 + Δx) เมื่อเรารู้ f (x 0 ) และ f '(x 0 ):
f ( x 0 + Δ x ) ≈ f ( x 0 ) + f '( x 0 ) ⋅Δ x
| ชื่อฟังก์ชัน | ฟังก์ชัน | อนุพันธ์ |
|---|---|---|
|
f ( x ) |
f '( x ) | |
| คงที่ |
const |
0 |
| เชิงเส้น |
x |
1 |
| อำนาจ |
x ก |
ขวานก- 1 |
| เอกซ์โปเนนเชียล |
จx |
จx |
| เอกซ์โปเนนเชียล |
กx |
กx ln ก |
| ลอการิทึมธรรมชาติ |
ln ( x ) |
|
| ลอการิทึม |
บันทึกb ( x ) |
|
| ไซน์ |
บาปx |
cos x |
| โคไซน์ |
cos x |
- ซินx |
| สัมผัส |
ผิวสีแทนx |
|
| Arcsine |
arcsin x |
|
| Arccosine |
arccos x |
|
| อาร์กแทนเจนต์ |
อาร์กแทนx |
|
| ไฮเพอร์โบลิกไซน์ |
บาปx |
cosh x |
| ไฮเพอร์โบลิกโคไซน์ |
cosh x |
บาปx |
| ไฮเพอร์โบลิกแทนเจนต์ |
tanh x |
|
| ไฮเพอร์โบลิกไซน์ผกผัน |
บาป-1 x |
|
| ไฮเพอร์โบลิกโคไซน์ผกผัน |
cosh -1 x |
|
| แทนเจนต์ไฮเพอร์โบลิกผกผัน |
tanh -1 x |
|
f ( x ) = x 3 +5 x 2 + x +8
f ' ( x ) = 3 x 2 + 2⋅5 x + 1 + 0 = 3 x 2 +10 x +1
f ( x ) = บาป (3 x 2 )
เมื่อใช้กฎลูกโซ่:
f ' ( x ) = cos (3 x 2 ) ⋅ [3 x 2 ]' = cos (3 x 2 ) ⋅ 6 x
เมื่ออนุพันธ์แรกของฟังก์ชั่นเป็นศูนย์ที่จุด x 0
f '( x 0 ) = 0
จากนั้นอนุพันธ์อันดับสองที่จุด x 0 , f '' (x 0 ) สามารถระบุประเภทของจุดนั้น:
|
f '' ( x 0 )/ 0 |
ขั้นต่ำในท้องถิ่น |
|
f '' ( x 0 ) <0 |
สูงสุดในท้องถิ่น |
|
f '' ( x 0 ) = 0 |
บึกบึน |
Advertising