电感器是在磁场中存储能量的电子组件。
电感器由导线线圈制成。
在电路原理图中,电感器用字母L标记。
电感以亨利[L]为单位测量。
电感器可减少交流电路中的电流并减少直流电路中的短路。
![]()
电感器 |
|
铁芯电感 |
|
可变电感 |
|
对于几个串联的电感器,总等效电感为:
L Total = L 1 + L 2 + L 3 + ...
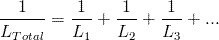
对于多个并联的电感器,总等效电感为:
![]()
![]()

![]()
X L = ωL
笛卡尔形式:
Z L = jX L = jωL
极性形式:
ž大号= X大号∠90º