衍生規則和法律。函數的導數表。
當Δx無限小時,函數的導數是點x +Δx和點x處函數值f(x)與Δx之差的比率。導數是函數斜率或點x處切線的斜率。
			
二階導數由下式給出:
			
或者簡單地導出一階導數:
			
所述Ñ階導數是由導出F(X)n倍來計算。
第n個導數等於(n-1)個導數的導數:
f (n)(x)= [ f (n -1)(x)]'
找出的四階導數
f(x)= 2 x 5
f (4)(x)= [2 x 5 ]''''= [10 x 4 ]'''= [40 x 3 ]''= [120 x 2 ]'= 240 x
函數的導數是切線的斜率。
| 導數和規則 | (af(x)+ bg(x))'= af'(x)+ bg'(x) | 
| 衍生產品規則 | (f(x)∙ g(x))'= f'(x)g(x)+ f(x)g'(x) | 
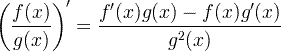
| 導數商規則 |  | 
| 導數鏈規則 | f(g(x))'= f'(g(x))∙ g'(x) | 
當a和b為常數時。
(af(x)+ bg(x))'= af'(x)+ bg'(x)
查找以下項的導數:
3 x 2 + 4 x。
根據總和規則:
a = 3,b = 4
f(x)= x 2,g(x)= x
f'(x)= 2 x ,g'(x)= 1
(3 X 2 + 4 X)'=3⋅2 X +4⋅1= 6 X + 4
(f(x)∙ g(x))'= f'(x)g(x)+ f(x)g'(x)
			
f(g(x))'= f'(g(x))∙ g'(x)
使用拉格朗日的符號可以更好地理解此規則:
 
			
對於小Δx,當我們知道f(x 0)和f'(x 0)時,我們可以獲得f(x 0 +Δx)的近似值:
˚F(X 0 +Δ X)≈ ˚F(X 0)+ ˚F '(X 0)⋅Δ X
| 功能名稱 | 功能 | 衍生物 | 
|---|---|---|
| f(x) | f '(x) | |
| 不變 | const | 0 | 
| 線性的 | x | 1 | 
| 功率 | X一 | 斧a- 1 | 
| 指數的 | Ë X | Ë X | 
| 指數的 | 一個X | 一個X LN一 | 
| 自然對數 | ln(x) | 
					 | 
| 對數 | 對數b(x) | 
					 | 
| 正弦波 | 罪惡x | cos x | 
| 餘弦 | cos x | -罪x | 
| 切線 | 譚X | 
					 | 
| 反正弦 | 阿克辛x | 
					 | 
| 反餘弦 | arccos x | 
					 | 
| 反正切 | arctan x |  | 
| 雙曲正弦 | 的sinh X | cosh x | 
| 雙曲餘弦 | cosh x | 的sinh X | 
| 雙曲正切 | tanh x | 
					 | 
| 反雙曲正弦 | 正弦-1 x | 
					 | 
| 反雙曲餘弦 | cosh -1 x | 
					 | 
| 反雙曲正切 | tanh -1 x | 
					 | 
f(x)= x 3 +5 x 2 + x +8
F' (X)= 3 X 2 +2⋅5 X + 1 + 0 = 3 X 2 10 X 1
f(x)= sin(3 x 2)
應用鍊式規則時:
f'(x)= cos(3 x 2)⋅[3 x 2 ]'= cos(3 x 2)⋅6 x
當函數的一階導數在點x 0處為零時。
f '(x 0)= 0
然後,在點x 0處的二階導數f''(x 0)可以指示該點的類型:
| f ''(x 0)/ 0 | 局部最小值 | 
| f ''(x 0)<0 | 局部最大值 | 
| f ''(x 0)= 0 | 未定 |