أدخل كود سداسي عشري مكون من 6 أرقام أو أدخل مستويات اللون الأحمر والأخضر والأزرق (0..255) واضغط على زر التحويل :
و R ، G ، B تنقسم القيم التي كتبها 255 لتغيير مجموعة من 0..255 إلى 0..1:
R '= R / 255
G '= G / 255
ب '= ب / 255
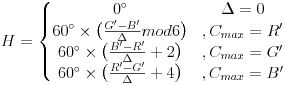
Cmax = ماكس ( R '، G '، B ')
Cmin = min ( R '، G '، B ')
Δ = Cmax - سم
حساب هوى:

حساب التشبع:

حساب القيمة:
V = Cmax
| اللون | اللون اسم |
عرافة | (R ، G ، B) | (H ، S ، V) |
|---|---|---|---|---|
| أسود | # 000000 | (0،0،0) | (0 درجة ، 0٪ ، 0٪) | |
| أبيض | #FFFFFF | (255،255،255) | (0 درجة ، 0٪ ، 100٪) | |
| أحمر | # FF0000 | (255،0،0) | (0 درجة ، 100٪ ، 100٪) | |
| جير | # 00FF00 | (0،255،0) | (120 درجة ، 100٪ ، 100٪) | |
| أزرق | # 0000FF | (0،0،255) | (240 درجة ، 100٪ ، 100٪) | |
| الأصفر | # FFFF00 | (255،255،0) | (60 درجة ، 100٪ ، 100٪) | |
| ازرق سماوي | # 00FFFF | (0،255،255) | (180 درجة ، 100٪ ، 100٪) | |
| أرجواني | # FF00FF | (255،0،255) | (300 درجة ، 100٪ ، 100٪) | |
| فضة | #BFBFBF | (191،191،191) | (0 ° ، 0٪ ، 75٪) | |
| اللون الرمادي | # 808080 | (128،128،128) | (0 درجة ، 0٪ ، 50٪) | |
| مارون | # 800000 | (128،0،0) | (0 درجة ، 100٪ ، 50٪) | |
| زيتون | # 808000 | (128،128،0) | (60 درجة ، 100٪ ، 50٪) | |
| أخضر | # 008000 | (0،128،0) | (120 درجة ، 100٪ ، 50٪) | |
| أرجواني | # 800080 | (128،0،128) | (300 درجة ، 100٪ ، 50٪) | |
| بط نهري صغير | # 008080 | (0،128،128) | (180 درجة ، 100٪ ، 50٪) | |
| القوات البحرية | # 000080 | (0،0،128) | (240 درجة ، 100٪ ، 50٪) |
Advertising