ما هي حسابات المكثف والمكثف.
المكثف هو مكون إلكتروني يخزن الشحنة الكهربائية . يتكون المكثف من موصلين قريبين (عادة لوحات) مفصولة بمادة عازلة. تتراكم اللوحات الكهربائية عند توصيلها بمصدر الطاقة. تتراكم إحدى اللوحين شحنة موجبة وتتراكم اللوحة الأخرى شحنة سالبة.
السعة هي كمية الشحنة الكهربائية المخزنة في المكثف بجهد 1 فولت.
يتم قياس السعة بوحدات فاراد (F).
يقوم المكثف بفصل التيار في دوائر التيار المباشر (DC) والدائرة القصيرة في دوائر التيار المتردد (AC).
![]()
مكثف |
||
مكثف مستقطب |
||
مكثف متغير |
السعة (C) للمكثف تساوي الشحنة الكهربائية (Q) مقسومة على الجهد (V):
![]()
C هي السعة في فاراد (F)
Q هي الشحنة الكهربائية في كولوم (C) المخزنة على المكثف
V هو الجهد بين ألواح المكثف بالفولت (V)
تساوي السعة (C) لمكثف الألواح السماحية (ε) مضروبة في مساحة اللوحة (A) مقسومة على الفجوة أو المسافة بين الألواح (د):
![]()
C هي سعة المكثف بالفاراد (F).
ε هي سماحية مادة جدلية المكثف ، بالفاراد لكل متر (F / m).
أ هي مساحة لوحة المكثف بالمتر المربع (م 2 ].
د هي المسافة بين ألواح المكثف بالأمتار (م).

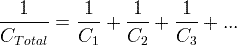
السعة الإجمالية للمكثفات على التوالي ، C1 ، C2 ، C3 ، ..:
![]()

السعة الكلية للمكثفات على التوازي ، C1 ، C2 ، C3 ، ..:
مجموع C = C 1 + C 2 + C 3 + ...
التيار اللحظي للمكثف i c (t) يساوي سعة المكثف ،
ضرب مشتق جهد المكثف اللحظي v c (t):
![]()
الجهد اللحظي للمكثف v c (t) يساوي الجهد الأولي للمكثف ،
زائد 1 / C ضرب تكامل تيار المكثف اللحظي i c (t) بمرور الوقت t:

الطاقة المخزنة للمكثف E C بالجول (J) تساوي السعة C بالفاراد (F)
ضرب جهد المكثف المربع V C بالفولت (V) مقسومًا على 2:
E C = C × V C 2 /2
ω = 2 π و
ω - السرعة الزاوية تقاس بالراديان في الثانية (راديان / ثانية)
و - التردد يقاس بالهرتز (هرتز).
![]()
الشكل الديكارتي:
![]()
الشكل القطبي:
Z C = X C ∟-90º
| مكثف متغير | مكثف متغير له سعة متغيرة |
| مكثف كهربائيا | تُستخدم المكثفات الإلكتروليتية عند الحاجة إلى سعة عالية. معظم المكثفات الإلكتروليتية مستقطبة |
| مكثف كروي | المكثف الكروي له شكل كروي |
| مكثف الطاقة | تستخدم مكثفات الطاقة في أنظمة الطاقة ذات الجهد العالي. |
| مكثف السيراميك | مكثف سيراميك يحتوي على مادة عازلة سيراميك. لديه وظيفة عالية الجهد. |
| مكثف التنتالوم | مادة عازلة من أكسيد التنتالوم. لديه سعة عالية |
| مكثف الميكا | مكثفات عالية الدقة |
| مكثف الورق | مادة الورق العازلة |
Advertising