Sainmhíniú agus ríomhanna ar fhriotaíocht leictreach.
Cainníocht leictreach is ea frithsheasmhacht a thomhaiseann an chaoi a laghdaíonn an gaireas nó an t-ábhar an sreabhadh srutha leictreach tríd.
Tomhaistear an fhriotaíocht in aonaid ohms (Ω).
Má dhéanaimid analaí le sreabhadh uisce i bpíopaí, bíonn an fhriotaíocht níos mó nuair a bhíonn an píopa níos tanaí, agus mar sin laghdaítear an sreabhadh uisce.
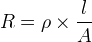
Is í friotaíocht seoltóra friotachas ábhar an tseoltóra uaireanta an seoltóra arna roinnt ar limistéar trasghearrthach an tseoltóra.
	
Is é R an fhriotaíocht in ohms (Ω).
Is é ρ an fhriotaíocht i méadar ohms (Ω × m)
l is é fad an tseoltóra i méadar (m)
Is é A limistéar trasghearrthach an tseoltóra i méadair chearnacha (m 2 )
Is furasta an fhoirmle seo a thuiscint de réir analaí píopaí uisce:

Is é R friotaíocht an fhriotóra in ohms (Ω).
Is é V an titim voltais ar an bhfriotóir i volta (V).
Is mise sruth an fhriotóra in aimpéar (A).
Méadaíonn friotaíocht friotóra nuair a mhéadaíonn teocht an fhriotóra.
R 2 = R 1 × (1 + α ( T 2 - T 1 ))
Is é R 2 an fhriotaíocht ag teocht T 2 in ohms (Ω).
Is é R 1 an fhriotaíocht ag teocht T 1 in ohms (Ω).
Is é α an chomhéifeacht teochta.
	
Is í friotaíocht iomlán coibhéiseach na bhfriotóirí i sraith suim na luachanna friotaíochta:
R Iomlán = R 1 + R 2 + R 3 + ...
	
Tugtar friotaíocht iomlán coibhéiseach na bhfriotóirí i gcomhthreo le:

Tomhaistear friotaíocht leictreach le hionstraim ohmmhéadair.
D’fhonn friotaíocht friotóra nó ciorcad a thomhas, ba cheart an soláthar cumhachta a mhúchadh sa chiorcad.
Ba chóir go mbeadh an ohmmhéadar ceangailte le dhá cheann an chiorcaid ionas gur féidir an fhriotaíocht a léamh.
Is é atá i sár-seoltacht ná titim na frithsheasmhachta go nialas ag teochtaí an-íseal gar do 0ºK.
Advertising