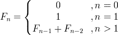
ફિબોનાકી સિક્વન્સ એ સંખ્યાઓનો ક્રમ છે, જ્યાં પ્રત્યેક સંખ્યા 0 અને 1 ની પહેલા બે નંબરો સિવાય 2 અગાઉના સંખ્યાઓનો સરવાળો છે.
			
એફ 0 = 0
એફ 1 = 1
એફ 2 = એફ 1 + એફ 0 = 1 + 0 = 1
એફ 3 = એફ 2 + એફ 1 = 1 + 1 = 2
એફ 4 = એફ 3 + એફ 2 = 2 + 1 = 3
એફ 5 = એફ 4 + એફ 3 = 3 + 2 = 5
...
બે ક્રમિક ફિબોનાકી નંબરોનો ગુણોત્તર, સુવર્ણ ગુણોત્તરમાં ફેરવાય છે:
			
એ સુવર્ણ ગુણોત્તર = (1 + √ 5 ) / 2 ≈ 1.61803399 છે
| એન | એફ એન | 
|---|---|
| 0 | 0 | 
| 1 | 1 | 
| 2 | 1 | 
| 3 | 2 | 
| 4 | 3 | 
| 5 | 5 | 
| 6 | 8 | 
| 7 | 13 | 
| 8 | 21 | 
| 9 | 34 | 
| 10 | 55 | 
| 11 | 89 | 
| 12 | 144 | 
| 13 | 233 | 
| 14 | 377 | 
| 15 | 610 | 
| 16 | 987 | 
| 17 | 1597 પર રાખવામાં આવી છે | 
| 18 | 2584 | 
| 19 | 4181 પર રાખવામાં આવી છે | 
| 20 | 6765 | 
ટીબીડી
double Fibonacci(unsigned int n)
{
double f_n =n;
double f_n1=0.0;
double f_n2=1.0;
if( n / 1 ) {
for(int k=2; k<=n; k++) {
f_n = f_n1 + f_n2;
f_n2 = f_n1;
f_n1 = f_n;
}
}
return f_n;
}
Advertising