מה זה חישובי נגדים ונגדים.
נגד הוא רכיב חשמלי המפחית את הזרם החשמלי.
יכולתו של הנגד להפחית את הזרם נקראת התנגדות ונמדדת ביחידות אוהם (סמל: Ω).
אם אנו עושים אנלוגיה לזרימת מים דרך צינורות, הנגד הוא צינור דק שמפחית את זרימת המים.
זרם הנגד I במגברים (A) שווה למתח הנגד V בוולט (V)
מחולק בהתנגדות R באום (Ω):
![]()
צריכת החשמל של הנגד P בוואט (W) שווה לזרם הנגד I במגברים (A)
כפול מתח הנגד V בוולט (V):
P = I × V
צריכת החשמל של הנגד P בוואט (W) שווה לערך הריבועי של הנגד I במגברים (A)
כפול התנגדות הנגד R באום (Ω):
P = I 2 × R
צריכת החשמל של הנגד P בוואט (W) שווה לערך הריבועי של הנגד V בוולט (V)
מחולק בהתנגדות הנגד R באום (Ω):
P = V 2 / R

ההתנגדות המקבילה הכוללת של נגדים במקביל R סך הכל ניתנת על ידי:
![]()
לכן כשמוסיפים נגדים במקביל, ההתנגדות הכוללת פוחתת.

ההתנגדות המקבילה הכוללת של נגדים בסדרה R הכוללת היא סכום ערכי ההתנגדות:
R סה"כ = R 1 + R 2 + R 3 + ...
לכן כשמוסיפים נגדים בסדרה, ההתנגדות הכוללת מוגברת.
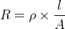
ה- R ההתנגדות אוהם (Ω) של הנגד שווה התנגדות ρ ב אוהם-מטר (Ω ∙ m) פעמים l אורך של הנגד במטרים (m) חלקי שטח חתך רוחב של הנגד במטרים רבועים (מ ' 2 ):
![]()
![]()
| נגד (IEEE) | נגד מקטין את זרימת הזרם. | |
| נגד (חברת חשמל) | ||
| פוטנציומטר (IEEE) | נגד מתכוונן - בעל 3 מסופים. | |
| פוטנציומטר (חברת חשמל) | ||
| נגד / ריאוסטט משתנה (IEEE) | נגד מתכוונן - יש שני מסופים. | |
| נגד / ריאוסטט משתנה (חברת חשמל) | ||
| נגד גוזם | נגד הנגד | |
| תרמיסטור | נגד תרמי - שינוי התנגדות כאשר הטמפרטורה משתנה | |
| נגן פוטו / נגן תלוי אור (LDR) | משנה התנגדות בהתאם לאור |
ההתנגדות של הנגד וסובלנותו מסומנות על הנגד עם רצועות קוד צבע המציינות את ערך ההתנגדות.
ישנם 3 סוגים של קודי צבע:
R = (10 × ספרה 1 + ספרה 2 ) × מכפיל
R = (100 × ספרה 1 + 10 × ספרה 2 + ספרה 3 ) × מכפיל
| נגד משתנה | נגד משתנה יש התנגדות מתכווננת (2 מסופים) |
| פוטנציומטר | לפוטנציומטר יש התנגדות מתכווננת (3 מסופים) |
| צילום נגד | מפחית עמידות בחשיפה לאור |
| נגד כוח | נגד כוח משמש למעגלים בעלי הספק גבוה ובעל ממדים גדולים. |
| הרכבה על פני השטח (SMT / SMD) נגד |
נגדי SMT / SMD יש ממדים קטנים. הנגדים מותקנים על גבי המעגלים המודפסים (PCB), שיטה זו מהירה ודורשת שטח לוח קטן. |
| רשת נגד | רשת הנגד היא שבב המכיל כמה נגדים עם ערכים דומים או שונים. |
| נגד פחמן | |
| נגד שבב | |
| נגד מתכת תחמוצת | |
| נגד קרמי |
במעגלים דיגיטליים, נגר משיכה הוא נגד רגיל המחובר לאספקת המתח הגבוהה (למשל + 5 וולט או +12 וולט) ומכוון את רמת הקלט או הפלט של המכשיר ל- '1'.
הנגיף המושך קבע את הרמה ל- '1' כאשר הקלט / הפלט מנותק. כאשר הקלט / הפלט מחובר, הרמה נקבעת על ידי המכשיר ועוקפת את הנגד למשוך.
במעגלים דיגיטליים הנגד הנפתח הוא נגד רגיל המחובר לקרקע (0 וולט) ומכוון את רמת הקלט או הפלט של המכשיר ל- '0'.
הנגד הנפתח קבע את הרמה ל- '0 כאשר הקלט / הפלט מנותק. כאשר הקלט / הפלט מחובר, הרמה נקבעת על ידי המכשיר ועוקפת את הנגד הנפתח.