Kas yra kondensatoriaus ir kondensatoriaus skaičiavimai.
Kondensatorius yra elektroninis komponentas, saugantis elektros krūvį . Kondensatorius pagamintas iš 2 artimų laidininkų (dažniausiai plokščių), kuriuos skiria dielektrinė medžiaga. Juos prijungus prie maitinimo šaltinio, plokštės kaupia elektrinį krūvį. Viena plokštė kaupia teigiamą, o kita - neigiamą.
Talpa yra elektros krūvio kiekis, kuris kaupiamas kondensatoriuje esant 1 voltų įtampai.
Talpa matuojama Farado (F) vienetais .
Kondensatorius atjungia srovę nuolatinės srovės (DC) grandinėse ir trumpąjį jungimą kintamosios srovės (AC) grandinėse.
![]()
Kondensatorius |
||
Poliarizuotas kondensatorius |
||
Kintamas kondensatorius |
Kondensatoriaus talpa (C) yra lygi elektros krūviui (Q), padalytam iš įtampos (V):
![]()
C yra talpa farade (F)
Q yra elektrinis krūvis kulonose (C), kuris yra sukauptas ant kondensatoriaus
V yra įtampa tarp kondensatoriaus plokščių voltais (V)
Plokštelių kondensatoriaus talpa (C) yra lygi skvarbumui (ε), padaugintam iš plokštės ploto (A), padalyto iš tarpo arba atstumo tarp plokščių (d):
![]()
C yra kondensatoriaus talpa farade (F).
ε yra kondensatoriaus dialektinės medžiagos pralaidumas faradais metrui (F / m).
A yra kondensatoriaus plokštės plotas kvadratiniais metrais (m 2 ].
d yra atstumas tarp kondensatoriaus plokščių, metrais (m).

Bendra serijinių kondensatorių talpa C1, C2, C3, ..:
![]()

Bendra kondensatorių talpa lygiagrečiai, C1, C2, C3, ..:
C Iš viso = C 1 + C 2 + C 3 + ...
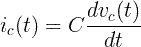
Kondensatoriaus momentinė srovė i c (t) yra lygi kondensatoriaus talpai,
kinta momentinės kondensatoriaus įtampos v c (t) išvestinė :
![]()
Kondensatoriaus momentinė įtampa v c (t) lygi pradinei kondensatoriaus įtampai,
plius 1 / C kartų momentinio kondensatoriaus srovės i c (t) integralas per laiką t:

Kondensatoriaus sukaupta energija E C džauliais (J) lygi talpai C farade (F)
kartus didesnė už kvadratinio kondensatoriaus įtampą V C voltais (V), padalytą iš 2:
E , C = C × V C 2 /2
ω = 2 π f
ω - kampinis greitis, išmatuotas radianais per sekundę (rad / s)
f - dažnis, išmatuotas hercais (Hz).
![]()
Dekarto forma:
![]()
Poliarinė forma:
Z C = X C ∟ -90º
| Kintamas kondensatorius | Kintamasis kondensatorius turi keičiamą talpą |
| Elektrolitinis kondensatorius | Elektrolitiniai kondensatoriai naudojami, kai reikia didelės talpos. Dauguma elektrolitinių kondensatorių yra poliarizuoti |
| Sferinis kondensatorius | Sferinis kondensatorius turi rutulio formą |
| Maitinimo kondensatorius | Galios kondensatoriai naudojami aukštos įtampos maitinimo sistemose. |
| Keraminis kondensatorius | Keraminis kondensatorius turi keraminę dielektrinę medžiagą. Turi aukštos įtampos funkcionalumą. |
| Tantalo kondensatorius | Tantalo oksido dielektrinė medžiaga. Turi didelę talpą |
| Žėručio kondensatorius | Didelio tikslumo kondensatoriai |
| Popierinis kondensatorius | Popierinė dielektrinė medžiaga |
Advertising