Kas ir kondensatora un kondensatora aprēķini.
Kondensators ir elektroniska sastāvdaļa, kas uzglabā elektrisko lādiņu . Kondensators ir izgatavots no 2 tuviem vadītājiem (parasti plāksnēm), kurus atdala dielektrisks materiāls. Plātnes uzkrāj elektrisko lādiņu, kad tās ir savienotas ar barošanas avotu. Viena plāksne uzkrāj pozitīvo lādiņu, bet otra - negatīvo.
Kapacitāte ir elektriskā lādiņa daudzums, kas tiek uzglabāts kondensatorā pie 1 voltu sprieguma.
Kapacitāti mēra Farada (F) vienībās .
Kondensators atvieno strāvu līdzstrāvas (DC) ķēdēs un īssavienojumu maiņstrāvas (AC) ķēdēs.
![]()
Kondensators |
||
Polarizēts kondensators |
||
Maināms kondensators |
Kondensatora kapacitāte (C) ir vienāda ar elektrisko lādiņu (Q), dalītu ar spriegumu (V):
![]()
C ir kapacitāte faradā (F)
Q ir elektriskais lādiņš kulonos (C), kas tiek uzglabāts kondensatorā
V ir spriegums starp kondensatora plāksnēm voltos (V)
Plākšņu kondensatora kapacitāte (C) ir vienāda ar caurlaidību (ε), kas reizināts ar plāksnes laukumu (A), dalītu ar atstarpi vai attālumu starp plāksnēm (d):
![]()
C ir kondensatora kapacitāte faradā (F).
ε ir kondensatora dialektiskā materiāla caurlaidība farādos uz metru (F / m).
A ir kondensatora plāksnes laukums kvadrātmetros (m 2 ].
d ir attālums starp kondensatora plāksnēm metros (m).

Kondensatoru sērijveida kopējā kapacitāte, C1, C2, C3, ..:
![]()

Kondensatoru kopējā kapacitāte paralēli, C1, C2, C3, ..:
C Kopā = C 1 + C 2 + C 3 + ...
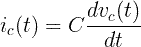
Kondensatora momentālā strāva i c (t) ir vienāda ar kondensatora kapacitāti,
reizina momentāna kondensatora sprieguma v c (t) atvasinājumu :
![]()
Kondensatora momentālais spriegums v c (t) ir vienāds ar kondensatora sākotnējo spriegumu,
plus 1 / C reizes lielāks par momentānās kondensatora strāvas i c (t) integrālu laika gaitā t:

Kondensatora uzkrātā enerģija E C džoulos (J) ir vienāda ar kapacitāti C faradā (F)
reizina kvadrātveida kondensatora spriegumu V C voltos (V), dalot ar 2:
E C = C × V C 2 /2
ω = 2 π f
ω - leņķiskais ātrums, ko mēra radiānos sekundē (rad / s)
f - frekvence, kas mērīta hercos (Hz).
![]()
Dekarta forma:
![]()
Polārā forma:
Z C = X C ∟ -90º
| Maināms kondensators | Mainīgajam kondensatoram ir maināma kapacitāte |
| Elektrolītiskais kondensators | Elektrolītiskos kondensatorus izmanto, ja nepieciešama liela kapacitāte. Lielākā daļa elektrolītisko kondensatoru ir polarizēti |
| Sfērisks kondensators | Sfēriskajam kondensatoram ir sfēras forma |
| Jaudas kondensators | Jaudas kondensatori tiek izmantoti augstsprieguma energosistēmās. |
| Keramikas kondensators | Keramikas kondensatoram ir keramikas dielektriskais materiāls. Ir augstsprieguma funkcionalitāte. |
| Tantala kondensators | Tantala oksīda dielektriskais materiāls. Ir augsta kapacitāte |
| Vizlas kondensators | Augstas precizitātes kondensatori |
| Papīra kondensators | Papīra dielektriskais materiāls |
Advertising