Индукторот е електрична компонента која ја складира енергијата во магнетното поле.
Индукторот е направен од серпентина од спроводлива жица.
Во шемите на електричното коло, индукторот означен со буквата Л.
Индуктивноста се мери во единиците на Хенри [L].
Индуктор ја намалува струјата во наизменични струјни кола и краток спој во DC кола.
			
| Индуктор |  | 
| Индуктор на железно јадро |  | 
| Променлив индуктор |  | 
За неколку индуктори во серија, вкупната еквивалентна индуктивност е:
L Вкупно = L 1 + L 2 + L 3 + ...
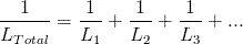
За неколку индуктори паралелно, вкупната еквивалентна индуктивност е:
			
			
			
			
X L = ωL
Картезијанска форма:
Z L = jX L = jωL
Поларна форма:
Z L = X L ∠90º
Advertising