Em probabilidade e distribuição estatística é uma característica de uma variável aleatória, descreve a probabilidade da variável aleatória em cada valor.
Cada distribuição tem uma certa função de densidade de probabilidade e função de distribuição de probabilidade.
Embora haja um número indefinido de distribuições de probabilidade, há várias distribuições comuns em uso.
A distribuição de probabilidade é descrita pela função de distribuição cumulativa F (x),
que é a probabilidade da variável aleatória X obter um valor menor ou igual a x:
F ( x ) = P ( X ≤ x )
A função de distribuição cumulativa F (x) é calculada pela integração da função de densidade de probabilidade f (u) da variável aleatória contínua X.

A função de distribuição cumulativa F (x) é calculada pela soma da função de massa de probabilidade P (u) da variável aleatória discreta X.

A distribuição contínua é a distribuição de uma variável aleatória contínua.
...
| Nome de distribuição | Símbolo de distribuição | Função de densidade de probabilidade (pdf) | Significar | Variância |
|---|---|---|---|---|
|
f X ( x ) |
μ = E ( X ) |
σ 2 = Var ( X ) |
||
| Normal / gaussiano |
X ~ N (μ, σ 2 ) |
|
μ | σ 2 |
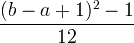
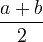
| Uniforme |
X ~ U ( a , b ) |
![]() |
|
|
| Exponencial | X ~ exp (λ) |
|
|
|
| Gama | X ~ gama ( c , λ) |
![]() x / 0, c / 0, λ/ 0 |
|
|
| Chi quadrado |
X ~ χ 2 ( k ) |
![]() |
k |
2 mil |
| Wishart | ||||
| F |
X ~ F ( k 1 , k 2 ) |
|||
| Beta | ||||
| Weibull | ||||
| Log normal |
X ~ LN (μ, σ 2 ) |
|||
| Rayleigh | ||||
| Cauchy | ||||
| Dirichlet | ||||
| Laplace | ||||
| Imposição | ||||
| Arroz | ||||
| T de estudante |
A distribuição discreta é a distribuição de uma variável aleatória discreta.
...
| Nome de distribuição | Símbolo de distribuição | Função de massa de probabilidade (pmf) | Significar | Variância | |
|---|---|---|---|---|---|
|
f x ( k ) = P ( X = k ) k = 0,1,2, ... |
E ( x ) | Var ( x ) | |||
| Binomial |
X ~ Bin ( n , p ) |
|
np |
np (1- p ) |
|
| Poisson |
X ~ Poisson (λ) |
|
λ ≥ 0 |
λ |
λ |
| Uniforme |
X ~ U ( a, b ) |
![]() |
|
|
|
| Geométrico |
X ~ Geom ( p ) |
|
|
|
|
| Hiper-geométrica |
X ~ HG ( N , K , n ) |
![]() |
N = 0,1,2, ... K = 0,1, .., N n = 0,1, ..., N |
|
|
| Bernoulli |
X ~ Bern ( p ) |
![]() |
p |
p (1- p ) |
|
Advertising