În probabilitate și statistici, distribuția este o caracteristică a unei variabile aleatoare, descrie probabilitatea variabilei aleatoare în fiecare valoare.
Fiecare distribuție are o anumită funcție de densitate a probabilității și funcție de distribuție a probabilității.
Deși există un număr nedefinit de distribuții de probabilitate, există mai multe distribuții comune în uz.
Distribuția probabilității este descrisă de funcția de distribuție cumulativă F (x),
care este probabilitatea ca variabila aleatorie X să obțină o valoare mai mică sau egală cu x:
F ( x ) = P ( X ≤ x )
Funcția de distribuție cumulativă F (x) este calculată prin integrarea funcției densității probabilității f (u) a variabilei aleatoare continue X.
			
Funcția de distribuție cumulativă F (x) se calculează prin însumarea funcției de probabilitate a masei P (u) a variabilei discrete aleatorii X.
			
Distribuția continuă este distribuția unei variabile aleatoare continue.
...
| Numele distribuției | Simbol de distribuție | Funcția densității probabilității (pdf) | Rău | Varianța | 
|---|---|---|---|---|
| f X ( x ) | μ = E ( X ) | σ 2 = Var ( X ) | ||
| Normal / gaussian | X ~ N (μ, σ 2 ) |  | μ | σ 2 | 
| Uniformă | X ~ U ( a , b ) |  |  |  | 
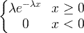
| Exponențială | X ~ exp (λ) |  |  |  | 
| Gamma | X ~ gamma ( c , λ) |  x / 0, c / 0, λ/ 0 |  |  | 
| Chi pătrat | X ~ χ 2 ( k ) |  | k | 2 k | 
| Wishart | ||||
| F | X ~ F ( k 1 , k 2 ) | |||
| Beta | ||||
| Weibull | ||||
| Log-normal | X ~ LN (μ, σ 2 ) | |||
| Rayleigh | ||||
| Cauchy | ||||
| Dirichlet | ||||
| Laplace | ||||
| Taxă | ||||
| Orez | ||||
| Studentul este t | 
Distribuția discretă este distribuția unei variabile aleatorii discrete.
...
| Numele distribuției | Simbol de distribuție | Funcția de masă a probabilității (pmf) | Rău | Varianța | |
|---|---|---|---|---|---|
| f x ( k ) = P ( X = k ) k = 0,1,2, ... | E ( x ) | Var ( x ) | |||
| Binom | X ~ Bin ( n , p ) |  | np | np (1- p ) | |
| Poisson | X ~ Poisson (λ) |  | λ ≥ 0 | λ | λ | 
| Uniformă | X ~ U ( a, b ) |  |  |  | |
| Geometric | X ~ Geom ( p ) |  | 
					 | 
					 | |
| Hiper-geometrică | X ~ HG ( N , K , n ) |  | N = 0,1,2, ... K = 0,1, .., N n = 0,1, ..., N |  |  | 
| Bernoulli | X ~ Berna ( p ) |  | p | p (1- p ) | |
Advertising