Производни правила и закони. Таблица за производни на функции.
Производната на функция е съотношението на разликата в стойността на функцията f (x) в точки x + Δx и x с Δx, когато Δx е безкрайно малка. Производната е функционален наклон или наклон на допирателната линия в точка x.
			
Второто производно се дава от:
			
Или просто изведете първата производна:
			
В н -ия производно се изчислява чрез извличане е (х) п пъти.
На н ия деривати е равна на производно на (п-1) производно:
f ( n ) ( x ) = [ f ( n -1) ( x )] '
Намерете четвъртата производна на
f ( x ) = 2 x 5
f (4) ( x ) = [2 x 5 ] "" "= [10 x 4 ]" "= [40 x 3 ]" = = 120 x 2 ] '= 240 x
Производната на функция е наклонът на тангенциалната линия.
| Правило за производна сума | ( af ( x ) + bg ( x )) '= af' ( x ) + bg ' ( x ) | 
| Правило за производни продукти | ( f ( x ) ∙ g ( x )) '= f' ( x ) g ( x ) + f ( x ) g ' ( x ) | 
| Правило за производно производно |  | 
| Правило за производна верига | f ( g ( x )) '= f' ( g ( x )) ∙ g ' ( x ) | 
Когато a и b са константи.
( af ( x ) + bg ( x )) '= af' ( x ) + bg ' ( x )
Намерете производната на:
3 x 2 + 4 x.
Според правилото за суми:
a = 3, b = 4
f ( x ) = x 2 , g ( x ) = x
f ' ( x ) = 2 x , g' ( x ) = 1
(3 x 2 + 4 x ) '= 3⋅2 x + 4⋅1 = 6 x + 4
( f ( x ) ∙ g ( x )) '= f' ( x ) g ( x ) + f ( x ) g ' ( x )
			
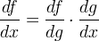
f ( g ( x )) '= f' ( g ( x )) ∙ g ' ( x )
Това правило може да се разбере по-добре с обозначението на Лагранж:
 
			
За малък Δx можем да получим приближение до f (x 0 + Δx), когато знаем f (x 0 ) и f '(x 0 ):
f ( x 0 + Δ x ) ≈ f ( x 0 ) + f '( x 0 ) ⋅Δ x
| Име на функцията | Функция | Производно | 
|---|---|---|
| f ( x ) | f '( x ) | |
| Постоянно | конст | 0 | 
| Линейна | x | 1 | 
| Мощност | x a | брадва a- 1 | 
| Експоненциално | д х | д х | 
| Експоненциално | а х | a x ln a | 
| Естествен логаритъм | ln ( x ) | 
					 | 
| Логаритъм | log b ( x ) | 
					 | 
| Синус | грях х | cos x | 
| Косинус | cos x | -грех x | 
| Допирателна | тен x | 
					 | 
| Arcsine | arcsin x | 
					 | 
| Аркозин | arccos x | 
					 | 
| Арктангенс | арктан х |  | 
| Хиперболичен синус | sinh x | cosh x | 
| Хиперболичен косинус | cosh x | sinh x | 
| Хиперболичен тангенс | tanh x | 
					 | 
| Обратен хиперболичен синус | sinh -1 x | 
					 | 
| Обратен хиперболичен косинус | cosh -1 x | 
					 | 
| Обратен хиперболичен тангенс | tanh -1 x | 
					 | 
f ( x ) = x 3 +5 x 2 + x +8
f ' ( x ) = 3 x 2 + 2⋅5 x + 1 + 0 = 3 x 2 +10 x +1
f ( x ) = грях (3 x 2 )
Когато прилагате правилото на веригата:
f ' ( x ) = cos (3 x 2 ) ⋅ [3 x 2 ]' = cos (3 x 2 ) ⋅ 6 x
Когато първата производна на функция е нула в точка x 0 .
f '( x 0 ) = 0
Тогава второто производно в точка x 0 , f "(x 0 ), може да посочи вида на тази точка:
| f "( x 0 )/ 0 | местен минимум | 
| f "( x 0 ) <0 | локален максимум | 
| f "( x 0 ) = 0 | неопределен | 
Advertising