En probabilitat i estadística la distribució és una característica d'una variable aleatòria, descriu la probabilitat de la variable aleatòria en cada valor.
Cada distribució té una determinada funció de densitat de probabilitat i funció de distribució de probabilitats.
Tot i que hi ha un nombre indefinit de distribucions de probabilitat, hi ha diverses distribucions comunes en ús.
La distribució de probabilitat es descriu mitjançant la funció de distribució acumulada F (x),
que és la probabilitat que la variable aleatòria X obtingui un valor menor o igual a x:
F ( x ) = P ( X ≤ x )
La funció de distribució acumulativa F (x) es calcula integrant la funció de densitat de probabilitat f (u) de la variable aleatòria contínua X.
			
La funció de distribució acumulativa F (x) es calcula sumant la funció de massa de probabilitat P (u) de la variable aleatòria discreta X.
			
La distribució contínua és la distribució d’una variable aleatòria contínua.
...
| Nom de la distribució | Símbol de distribució | Funció de densitat de probabilitat (pdf) | Significar | Desacord | 
|---|---|---|---|---|
| f X ( x ) | μ = E ( X ) | σ 2 = Var ( X ) | ||
| Normal / gaussià | X ~ N (μ, σ 2 ) |  | μ | σ 2 | 
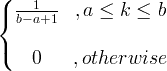
| Uniforme | X ~ U ( a , b ) |  |  |  | 
| Exponencial | X ~ exp (λ) |  |  |  | 
| Gamma | X ~ gamma ( c , λ) |  x / 0, c / 0, λ/ 0 |  |  | 
| Plaça Chi | X ~ χ 2 ( k ) |  | k | 2 k | 
| Wishart | ||||
| F | X ~ F ( k 1 , k 2 ) | |||
| Beta | ||||
| Weibull | ||||
| Registre normal | X ~ LN (μ, σ 2 ) | |||
| Rayleigh | ||||
| Cauchy | ||||
| Dirichlet | ||||
| Laplace | ||||
| Levy | ||||
| Arròs | ||||
| Estudiant t | 
La distribució discreta és la distribució d’una variable aleatòria discreta.
...
| Nom de la distribució | Símbol de distribució | Funció de massa de probabilitat (pmf) | Significar | Desacord | |
|---|---|---|---|---|---|
| f x ( k ) = P ( X = k ) k = 0,1,2, ... | E ( x ) | Var ( x ) | |||
| Binomi | X ~ Bin ( n , p ) |  | np | np (1- p ) | |
| Poisson | X ~ Poisson (λ) |  | λ ≥ 0 | λ | λ | 
| Uniforme | X ~ U ( a, b ) |  |  |  | |
| Geomètrica | X ~ Geom ( p ) |  | 
					 | 
					 | |
| Hipergeomètric | X ~ HG ( N , K , n ) |  | N = 0,1,2, ... K = 0,1, .., N n = 0,1, ..., N |  |  | 
| Bernoulli | X ~ Berna ( p ) |  | p | p (1- p ) | |
Advertising