Hvad er modstands- og modstandsberegninger.
Modstand er en elektrisk komponent, der reducerer den elektriske strøm.
Modstandens evne til at reducere strømmen kaldes modstand og måles i enheder af ohm (symbol: Ω).
Hvis vi laver en analogi med vandstrømning gennem rør, er modstanden et tyndt rør, der reducerer vandstrømmen.
Modstandens strøm I i ampere (A) er lig med modstandens spænding V i volt (V)
divideret med modstanden R i ohm (Ω):
![]()
Modstandens strømforbrug P i watt (W) er lig med modstandens strøm I i ampere (A)
gange modstandens spænding V i volt (V):
P = I × V
Modstandens strømforbrug P i watt (W) er lig med kvadratværdien af modstandens strøm I i ampere (A)
gange modstandens modstand R i ohm (Ω):
P = I 2 × R
Modstandens strømforbrug P i watt (W) er lig med kvadratværdien af modstandens spænding V i volt (V)
divideret med modstandens modstand R i ohm (Ω):
P = V 2 / R

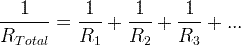
Den samlede ækvivalente modstand af modstande parallelt R Total er givet ved:
![]()
Så når du tilføjer modstande parallelt, reduceres den samlede modstand.

Den samlede ækvivalente modstand af modstande i serie R total er summen af modstandsværdierne:
R i alt = R 1 + R 2 + R 3 + ...
Så når du tilføjer modstande i serie, øges den samlede modstand.
Modstanden R i ohm (Ω) af en modstand er lig med modstanden ρ i ohm-meter (Ω ∙ m) gange modstandens længde l i meter (m) divideret med modstandens tværsnitsareal A i kvadratmeter (m 2 ):
![]()
![]()
| Modstand (IEEE) | Modstand reducerer strømmen. | |
| Modstand (IEC) | ||
| Potentiometer (IEEE) | Justerbar modstand - har 3 klemmer. | |
| Potentiometer (IEC) | ||
| Variabel modstand / reostat (IEEE) | Justerbar modstand - har 2 klemmer. | |
| Variabel modstand / reostat (IEC) | ||
| Trimmer modstand | Presest modstand | |
| Termistor | Termisk modstand - skift modstand, når temperaturen ændres | |
| Fotoresistor / lysafhængig modstand (LDR) | Ændrer modstand i henhold til lys |
Modstanden af modstanden og dens tolerance er markeret på modstanden med farvekodebånd, der angiver modstandsværdien.
Der er 3 typer farvekoder:
R = (10 × ciffer 1 + ciffer 2 ) × multiplikator
R = (100 × ciffer 1 + 10 × ciffer 2 + ciffer 3 ) × multiplikator
| Variabel modstand | Variabel modstand har en justerbar modstand (2 terminaler) |
| Potentiometer | Potentiometer har en justerbar modstand (3 terminaler) |
| Fotomodstand | Reducerer modstand, når den udsættes for lys |
| Strømmodstand | Effektmodstand bruges til kredsløb med høj effekt og har store dimensioner. |
| Overflademontering (SMT / SMD) modstand |
SMT / SMD-modstande har små dimensioner. Modstandene er overflademonteret på printkortet (PCB), denne metode er hurtig og kræver lille kortareal. |
| Modstandsnetværk | Modstandsnetværk er en chip, der indeholder flere modstande med ens eller forskellige værdier. |
| Kulmodstand | |
| Chipmodstand | |
| Metaloxidmodstand | |
| Keramisk modstand |
I digitale kredsløb er pull-up-modstand en almindelig modstand, der er forbundet til højspændingsforsyningen (f.eks. + 5V eller + 12V) og indstiller input- eller outputniveauet på en enhed til '1'.
Pull-up-modstanden indstillede niveauet til '1', når input / output frakobles. Når input / output er tilsluttet, bestemmes niveauet af enheden og tilsidesætter pull-up-modstanden.
I digitale kredsløb er pull-down-modstand en almindelig modstand, der er forbundet til jorden (0V) og indstiller input- eller outputniveauet på en enhed til '0'.
Trækmodstanden indstiller niveauet til '0', når input / output frakobles. Når input / output er tilsluttet, bestemmes niveauet af enheden og tilsidesætter pull-down-modstanden.
Advertising