In Wahrscheinlichkeit und Statistik ist die Verteilung ein Merkmal einer Zufallsvariablen, beschreibt die Wahrscheinlichkeit der Zufallsvariablen in jedem Wert.
Jede Verteilung hat eine bestimmte Wahrscheinlichkeitsdichtefunktion und Wahrscheinlichkeitsverteilungsfunktion.
Obwohl es eine unbestimmte Anzahl von Wahrscheinlichkeitsverteilungen gibt, werden mehrere gemeinsame Verteilungen verwendet.
Die Wahrscheinlichkeitsverteilung wird durch die kumulative Verteilungsfunktion F (x) beschrieben.
Dies ist die Wahrscheinlichkeit, dass die Zufallsvariable X einen Wert kleiner oder gleich x erhält:
F ( x ) = P ( X ≤ x )
Die kumulative Verteilungsfunktion F (x) wird durch Integration der Wahrscheinlichkeitsdichtefunktion f (u) der kontinuierlichen Zufallsvariablen X berechnet.
			
Die kumulative Verteilungsfunktion F (x) wird durch Summation der Wahrscheinlichkeitsmassenfunktion P (u) der diskreten Zufallsvariablen X berechnet.
			
Kontinuierliche Verteilung ist die Verteilung einer kontinuierlichen Zufallsvariablen.
...
| Verteilungsname | Verteilungssymbol | Wahrscheinlichkeitsdichtefunktion (pdf) | Bedeuten | Varianz | 
|---|---|---|---|---|
| f X ( x ) | μ = E ( X ) | σ 2 = Var ( X ) | ||
| Normal / Gauß | X ~ N (μ, σ 2 ) |  | μ | σ 2 | 
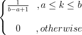
| Uniform | X ~ U ( a , b ) |  |  |  | 
| Exponentiell | X ~ exp (λ) |  |  |  | 
| Gamma | X ~ gamma ( c , λ) |  x / 0, c / 0, λ/ 0 |  |  | 
| Chi Quadrat | X ~ χ 2 ( k ) |  | k | 2 k | 
| Wishart | ||||
| F | X ~ F ( k 1 , k 2 ) | |||
| Beta | ||||
| Weibull | ||||
| Log-normal | X ~ LN (μ, σ 2 ) | |||
| Rayleigh | ||||
| Cauchy | ||||
| Dirichlet | ||||
| Laplace | ||||
| Erheben | ||||
| Reis | ||||
| Student's t | 
Diskrete Verteilung ist die Verteilung einer diskreten Zufallsvariablen.
...
| Verteilungsname | Verteilungssymbol | Wahrscheinlichkeitsmassenfunktion (pmf) | Bedeuten | Varianz | |
|---|---|---|---|---|---|
| f x ( k ) = P ( X = k ) k = 0,1,2, ... | E ( x ) | Var ( x ) | |||
| Binomial | X ~ Bin ( n , p ) |  | np | np (1- p ) | |
| Poisson | X ~ Poisson (λ) |  | λ ≥ 0 | λ | λ | 
| Uniform | X ~ U ( a, b ) |  |  |  | |
| Geometrisch | X ~ Geom ( p ) |  | 
					 | 
					 | |
| Hypergeometrisch | X ~ HG ( N , K , n ) |  | N = 0,1,2, ... K = 0,1, .., N. n = 0,1, ..., N. |  |  | 
| Bernoulli | X ~ Bern ( p ) |  | p | p (1- p ) | |
Advertising