За ймовірністю та статистикою розподіл є характеристикою випадкової величини, описує ймовірність випадкової величини для кожного значення.
Кожен розподіл має певну функцію щільності ймовірності та функцію розподілу ймовірностей.
Хоча існує невизначена кількість розподілів ймовірностей, використовується кілька загальних розподілів.
Розподіл ймовірностей описується кумулятивною функцією розподілу F (x),
що є ймовірністю випадкової величини X отримати значення менше або рівне x:
F ( x ) = P ( X ≤ x )
Кумулятивна функція розподілу F (x) обчислюється інтегруванням функції щільності ймовірності f (u) неперервної випадкової величини X.
			
Кумулятивна функція розподілу F (x) обчислюється підсумовуванням функції масової ймовірності P (u) дискретної випадкової величини X.
			
Безперервний розподіл - це розподіл неперервної випадкової величини.
...
| Назва розповсюдження | Символ розподілу | Функція щільності ймовірності (pdf) | Середній | Дисперсія | 
|---|---|---|---|---|
| f X ( x ) | μ = E ( X ) | σ 2 = Var ( X ) | ||
| Звичайна / гауссова | X ~ N (μ, σ 2 ) |  | μ | σ 2 | 
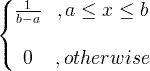
| Уніформа | X ~ U ( a , b ) |  |  |  | 
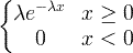
| Експоненціальна | X ~ exp (λ) |  |  |  | 
| Гамма | X ~ гамма ( c , λ) |  x / 0, c / 0, λ/ 0 |  |  | 
| Квадрат хі | X ~ χ 2 ( k ) |  | k | 2 к | 
| Вішарт | ||||
| F | X ~ F ( k 1 , k 2 ) | |||
| Бета | ||||
| Вейбулл | ||||
| Журнал-нормальний | X ~ LN (μ, σ 2 ) | |||
| Релі | ||||
| Коші | ||||
| Діріхле | ||||
| Лапласа | ||||
| Леві | ||||
| Рис | ||||
| Студентський т | 
Дискретний розподіл - це розподіл дискретної випадкової величини.
...
| Назва розповсюдження | Символ розподілу | Функція маси ймовірності (pmf) | Середній | Дисперсія | |
|---|---|---|---|---|---|
| f x ( k ) = P ( X = k ) k = 0,1,2, ... | E ( x ) | Var ( x ) | |||
| Двочленна | X ~ Кошик ( n , p ) |  | np | np (1- p ) | |
| Пуассон | X ~ Пуассон (λ) |  | λ ≥ 0 | λ | λ | 
| Уніформа | X ~ U ( a, b ) |  |  |  | |
| Геометричні | X ~ Geom ( p ) |  | 
					 | 
					 | |
| Гіпергеометричний | X ~ HG ( N , K , n ) |  | N = 0,1,2, ... K = 0,1, .., N n = 0,1, ..., N |  |  | 
| Бернуллі | X ~ Берн ( p ) |  | p | p (1- p ) | |
Advertising