সূচক একটি বৈদ্যুতিক উপাদান যা চৌম্বকীয় ক্ষেত্রে শক্তি সঞ্চয় করে।
সূচকটি কন্ডাক্টিং ওয়্যারের কয়েল দিয়ে তৈরি।
বৈদ্যুতিক সার্কিট স্কিমেটিক্সে, সূচক এল অক্ষর দ্বারা চিহ্নিত করা হয় uct
আনডাক্ট্যান্স হেনরি [এল] এর ইউনিটগুলিতে পরিমাপ করা হয়।
সূচক এসি সার্কিটের বর্তমান এবং ডিসি সার্কিটগুলিতে শর্ট সার্কিট হ্রাস করে।
			
| সূচক |  | 
| আয়রন কোর ইন্ডাক্টর |  | 
| পরিবর্তনশীল সূচক |  | 
সিরিজের বেশ কয়েকটি আনডাক্টরের জন্য মোট সমতুল্য আনয়ন হ'ল:
এল মোট = এল 1 + এল 2 + এল 3 + ...
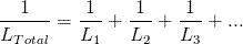
সমান্তরালভাবে বেশ কয়েকটি সূচকগুলির জন্য মোট সমতুল্য আনয়ন:
			
			
			
			
এক্স এল = ωL
কার্টেসিয়ান ফর্ম:
জেড এল = জেএক্স এল = জেএল
পোলার ফর্ম:
জেড এল = এক্স এল ∠90º º
Advertising