V pravděpodobnosti a statistika distribuce je charakteristické náhodné proměnné, popisuje pravděpodobnosti náhodné proměnné v každé hodnoty.
Každé rozdělení má určitou funkci hustoty pravděpodobnosti a funkci rozdělení pravděpodobnosti.
Ačkoli existuje neurčitý počet rozdělení pravděpodobnosti, používá se několik běžných rozdělení.
Rozdělení pravděpodobnosti je popsáno kumulativní distribuční funkcí F (x),
což je pravděpodobnost, že náhodná proměnná X získá hodnotu menší nebo rovnou x:
F ( x ) = P ( X ≤ x )
Kumulativní distribuční funkce F (x) se vypočítá integrací funkce hustoty pravděpodobnosti f (u) spojité náhodné proměnné X.

Kumulativní distribuční funkce F (x) se vypočítá součtem funkce pravděpodobnostní hmotnosti P (u) diskrétní náhodné proměnné X.

Kontinuální distribuce je distribuce spojité náhodné proměnné.
...
| Název distribuce | Distribuční symbol | Funkce hustoty pravděpodobnosti (pdf) | Znamenat | Rozptyl |
|---|---|---|---|---|
|
f X ( x ) |
μ = E ( X ) |
σ 2 = Var ( X ) |
||
| Normální / gaussian |
X ~ N (μ, σ 2 ) |
|
μ | σ 2 |
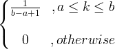
| Jednotný |
X ~ U ( a , b ) |
![]() |
|
|
| Exponenciální | X ~ exp (λ) |
|
|
|
| Gama | X ~ gama ( c , λ) |
![]() x / 0, c / 0, λ/ 0 |
|
|
| Náměstí Chi |
X ~ χ 2 ( k ) |
![]() |
k |
2 k |
| Wishart | ||||
| F |
X ~ F ( k 1 , k 2 ) |
|||
| Beta | ||||
| Weibulle | ||||
| Log-normální |
X ~ LN (μ, σ 2 ) |
|||
| Rayleigh | ||||
| Cauchy | ||||
| Dirichlet | ||||
| Laplace | ||||
| Levy | ||||
| Rýže | ||||
| Studentská t |
Diskrétní distribuce je distribuce diskrétní náhodné proměnné.
...
| Název distribuce | Distribuční symbol | Funkce pravděpodobnostní hmotnosti (PMF) | Znamenat | Rozptyl | |
|---|---|---|---|---|---|
|
f x ( k ) = P ( X = k ) k = 0,1,2, ... |
E ( x ) | Var ( x ) | |||
| Binomický |
X ~ Bin ( n , p ) |
|
np |
np (1- p ) |
|
| jed |
X ~ Poisson (λ) |
|
λ ≥ 0 |
λ |
λ |
| Jednotný |
X ~ U ( a, b ) |
![]() |
|
|
|
| Geometrický |
X ~ Geom ( p ) |
|
|
|
|
| Hyper-geometrické |
X ~ HG ( N , K , n ) |
![]() |
N = 0,1,2, ... K = 0,1, .., N n = 0,1, ..., N |
|
|
| Bernoulli |
X ~ Bern ( p ) |
![]() |
p |
p (1- p ) |
|
Advertising