Co to są obliczenia kondensatorów i kondensatorów.
Kondensator to element elektroniczny przechowujący ładunek elektryczny . Kondensator składa się z 2 zamkniętych przewodników (zwykle płyt) oddzielonych dielektrykiem. Płyty gromadzą ładunek elektryczny po podłączeniu do źródła zasilania. Jedna płyta gromadzi ładunek dodatni, a druga płytka ładunek ujemny.
Pojemność to ilość ładunku elektrycznego, który jest przechowywany w kondensatorze przy napięciu 1 wolta.
Pojemność mierzona jest w jednostkach Farada (F).
Kondensator odłącza prąd w obwodach prądu stałego (DC) i zwarcie w obwodach prądu przemiennego (AC).
![]()
Kondensator |
||
Kondensator spolaryzowany |
||
Kondensator zmienny |
Pojemność (C) kondensatora jest równa ładunkowi elektrycznemu (Q) podzielonemu przez napięcie (V):
![]()
C jest pojemnością w faradzie (F)
Q to ładunek elektryczny w kulombach (C), który jest przechowywany na kondensatorze
V to napięcie między płytami kondensatora w woltach (V)
Pojemność (C) kondensatora płytowego jest równa przenikalności (ε) pomnożonej przez pole powierzchni (A) podzielonej przez szczelinę lub odległość między płytami (d):
![]()
C jest pojemnością kondensatora, w faradzie (F).
ε jest przenikalnością elektryczną materiału dialektycznego kondensatora, w faradzie na metr (F / m).
A jest powierzchnią płyty kondensatora w metrach kwadratowych (m 2 ].
d jest odległością między płytami kondensatora, w metrach (m).

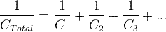
Całkowita pojemność kondensatorów połączonych szeregowo, C1, C2, C3, ...:
![]()

Całkowita pojemność kondensatorów połączonych równolegle, C1, C2, C3, ...:
C Ogółem = C 1 + C 2 + C 3 + ...
Chwilowy prąd kondensatora ja c (t) jest równy pojemności kondensatora,
razy pochodna chwilowego napięcia kondensatora v c (t):
![]()
Chwilowe napięcie kondensatora v c (t) jest równe początkowemu napięciu kondensatora,
plus 1 / C razy całka chwilowego prądu kondensatora i c (t) w czasie t:

Zmagazynowana energia kondensatora E C w dżulach (J) jest równa pojemności C w faradzie (F)
razy kwadratowe napięcie kondensatora V C w woltach (V) podzielone przez 2:
E C = C x V C 2 /2
ω = 2 π f
ω - prędkość kątowa mierzona w radianach na sekundę (rad / s)
f - częstotliwość mierzona w hercach (Hz).
![]()
Postać kartezjańska:
![]()
Forma polarna:
Z C = X C ∟-90º
| Kondensator zmienny | Zmienny kondensator ma zmienną pojemność |
| Kondensator elektrolityczny | Kondensatory elektrolityczne są używane, gdy potrzebna jest duża pojemność. Większość kondensatorów elektrolitycznych jest spolaryzowana |
| Kondensator kulisty | Kondensator kulisty ma kształt kuli |
| Kondensator mocy | Kondensatory mocy są stosowane w układach zasilania wysokiego napięcia. |
| Kondensator ceramiczny | Kondensator ceramiczny ma ceramiczny materiał dielektryczny. Posiada funkcjonalność wysokiego napięcia. |
| Kondensator tantalowy | Materiał dielektryczny z tlenku tantalu. Ma dużą pojemność |
| Kondensator mikowy | Kondensatory o wysokiej dokładności |
| Kondensator papierowy | Papierowy materiał dielektryczny |
Advertising