Induktor to element elektryczny, który magazynuje energię w polu magnetycznym.
Cewka zbudowana jest z cewki z przewodzącego drutu.
W schemacie obwodu elektrycznego cewka oznaczona literą L.
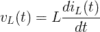
Indukcyjność jest mierzona w jednostkach Henry'ego [L].
Cewka redukuje prąd w obwodach prądu przemiennego i zwarcie w obwodach prądu stałego.
![]()
Induktor |
|
Cewka z rdzeniem żelaznym |
|
Zmienna cewka |
|
Dla kilku cewek połączonych szeregowo całkowita równoważna indukcyjność wynosi:
Łącznie L = L 1 + L 2 + L 3 + ...
Dla kilku cewek równoległych całkowita równoważna indukcyjność wynosi:
![]()
![]()

![]()
X L = ωL
Postać kartezjańska:
Z L = jX L = jωL
Forma polarna:
Z L = X L ∠90º
Advertising