בהסתברות וסטטיסטיקה התפלגות היא מאפיין של משתנה אקראי, מתאר את ההסתברות של המשתנה האקראי בכל ערך.
לכל התפלגות פונקציה מסוימת של צפיפות הסתברות ופונקציה של חלוקת הסתברות.
למרות שיש מספר בלתי מוגדר של התפלגויות הסתברות, ישנן מספר התפלגויות נפוצות בשימוש.
התפלגות ההסתברות מתוארת על ידי פונקציית ההתפלגות המצטברת F (x),
המהווה את ההסתברות של משתנה אקראי X לקבל ערך קטן או שווה ל- x:
F ( x ) = P ( X ≤ x )
פונקציית ההתפלגות המצטברת F (x) מחושבת על ידי אינטגרציה של פונקציית צפיפות ההסתברות f (u) של משתנה אקראי רציף X.

פונקציית ההתפלגות המצטברת F (x) מחושבת על ידי סיכום של פונקציית ההסתברות P (u) של משתנה אקראי בדיד X.

התפלגות רציפה היא התפלגות של משתנה אקראי רציף.
...
| שם ההפצה | סמל הפצה | פונקציית צפיפות הסתברות (pdf) | מתכוון | שׁוֹנוּת |
|---|---|---|---|---|
|
f X ( x ) |
μ = E ( X ) |
σ 2 = Var ( X ) |
||
| רגיל / גאוסי |
X ~ N (μ, σ 2 ) |
|
μ | σ 2 |
| מדים |
X ~ U ( a , b ) |
![]() |
|
|
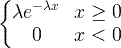
| אקספוננציאלי | X ~ exp (λ) |
|
|
|
| גמא | X ~ גמא ( c , λ) |
![]() x / 0, c / 0, λ/ 0 |
|
|
| כיכר צ'י |
X ~ χ 2 ( k ) |
![]() |
k |
2 k |
| וויארט | ||||
| F |
X ~ F ( k 1 , k 2 ) |
|||
| בטא | ||||
| וויבול | ||||
| יומן-נורמלי |
X ~ LN (μ, σ 2 ) |
|||
| ריילי | ||||
| קושי | ||||
| דיריכלט | ||||
| לפלס | ||||
| לִגבּוֹת | ||||
| אורז | ||||
| תלמיד |
התפלגות דיסקרטית היא התפלגות של משתנה אקראי בדיד.
...
| שם ההפצה | סמל הפצה | פונקציית מסת הסתברות (pmf) | מתכוון | שׁוֹנוּת | |
|---|---|---|---|---|---|
|
f x ( k ) = P ( X = k ) k = 0,1,2, ... |
E ( x ) | Var ( x ) | |||
| בינומיאל |
X ~ סל ( n , p ) |
|
np |
np (1- p ) |
|
| פואסון |
X ~ פואסון (λ) |
|
λ ≥ 0 |
λ |
λ |
| מדים |
X ~ U ( a, b ) |
![]() |
|
|
|
| גֵאוֹמֶטרִי |
X ~ Geom ( p ) |
|
|
|
|
| היפר-גיאומטרי |
X ~ HG ( N , K , n ) |
![]() |
N = 0,1,2, ... K = 0,1, .., N n = 0,1, ..., N |
|
|
| ברנולי |
X ~ ברן ( p ) |
![]() |
p |
p (1- p ) |
|
Advertising