Ipasok ang 6 na digit na hex code o ipasok ang pula, berde at asul na mga antas ng kulay (0..255) at pindutin ang pindutan ng I- convert :
Ang mga halagang R , G , B ay hinati sa 255 upang baguhin ang saklaw mula 0..255 hanggang 0..1:
R '= R / 255
G '= G / 255
B '= B / 255
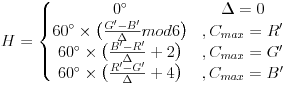
Cmax = max ( R ', G ', B ')
Cmin = min ( R ', G ', B ')
Δ = Cmax - Cmin
Pagkalkula ng kulay:

Pagkalkula ng saturation:

Pagkalkula ng halaga:
V = Cmax
| Kulay | Kulay pangalan |
Hex | (R, G, B) | (H, S, V) |
|---|---|---|---|---|
| Itim | # 000000 | (0,0,0) | (0 °, 0%, 0%) | |
| Maputi | #FFFFFF | (255,255,255) | (0 °, 0%, 100%) | |
| Pula | # FF0000 | (255,0,0) | (0 °, 100%, 100%) | |
| Kalamansi | # 00FF00 | (0,255,0) | (120 °, 100%, 100%) | |
| Asul | # 0000FF | (0,0,255) | (240 °, 100%, 100%) | |
| Dilaw | # FFFF00 | (255,255,0) | (60 °, 100%, 100%) | |
| Cyan | # 00FFFF | (0,255,255) | (180 °, 100%, 100%) | |
| Magenta | # FF00FF | (255,0,255) | (300 °, 100%, 100%) | |
| Pilak | #BFBFBF | (191,191,191) | (0 °, 0%, 75%) | |
| kulay-abo | # 808080 | (128,128,128) | (0 °, 0%, 50%) | |
| Maroon | # 800000 | (128,0,0) | (0 °, 100%, 50%) | |
| Olibo | # 808000 | (128,128,0) | (60 °, 100%, 50%) | |
| Berde | # 008000 | (0,128,0) | (120 °, 100%, 50%) | |
| Lila | # 800080 | (128,0,128) | (300 °, 100%, 50%) | |
| Teal | # 008080 | (0,128,128) | (180 °, 100%, 50%) | |
| hukbong-dagat | # 000080 | (0,0,128) | (240 °, 100%, 50%) |
Advertising