Í líkindum og tölfræði er dreifing einkenni handahófsbreytu, lýsir líkum handahófskenndrar breytu í hverju gildi.
Hver dreifing hefur ákveðna möguleika á þéttleika og líkindadreifingu.
Þó að það sé óákveðinn fjöldi líkindadreifinga eru nokkrar algengar dreifingar í notkun.
Líkindadreifingunni er lýst með uppsöfnuðum dreifingaraðgerð F (x),
sem eru líkurnar á að handahófsbreytan X fái gildi sem er minna en eða jafnt og x:
F ( x ) = P ( X ≤ x )
Uppsöfnuð dreifingaraðgerð F (x) er reiknuð með samþættingu líkindaþéttleikafallsins f (u) samfelldrar handahófsbreytu X.
			
Uppsöfnuð dreifingarfall F (x) er reiknað með samantekt líkindamassafallsins P (u) stakrar handahófsbreytu X.
			
Stöðug dreifing er dreifing samfelldrar handahófsbreytu.
...
| Dreifingarheiti | Dreifingartákn | Líkindi þéttleika virka (pdf) | Vondur | Afbrigði | 
|---|---|---|---|---|
| f X ( x ) | μ = E ( X ) | σ 2 = Var ( X ) | ||
| Venjulegur / gaussískur | X ~ N (μ, σ 2 ) |  | μ | σ 2 | 
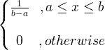
| Einkennisbúningur | X ~ U ( a , b ) |  |  |  | 
| Veldisvísir | X ~ exp (λ) |  |  |  | 
| Gamma | X ~ gamma ( c , λ) |  x / 0, c / 0, λ/ 0 |  |  | 
| Chi ferningur | X ~ χ 2 ( k ) |  | k | 2 k | 
| Wishart | ||||
| F | X ~ F ( k 1 , k 2 ) | |||
| Beta | ||||
| Weibull | ||||
| Log-normal | X ~ LN (μ, σ 2 ) | |||
| Rayleigh | ||||
| Cauchy | ||||
| Dirichlet | ||||
| Laplace | ||||
| Álagning | ||||
| Hrísgrjón | ||||
| Nemandi t | 
Stakur dreifing er dreifing stakrar handahófsbreytu.
...
| Dreifingarheiti | Dreifingartákn | Líkur á massafalli (pmf) | Vondur | Afbrigði | |
|---|---|---|---|---|---|
| f x ( k ) = P ( X = k ) k = 0,1,2, ... | E ( x ) | Var ( x ) | |||
| Tvíliða | X ~ rusl ( n , p ) |  | np | np (1- p ) | |
| Poisson | X ~ Poisson (λ) |  | λ ≥ 0 | λ | λ | 
| Einkennisbúningur | X ~ U ( a, b ) |  |  |  | |
| Geometric | X ~ Geom ( p ) |  | 
					 | 
					 | |
| Há-rúmfræðilegt | X ~ HG ( N , K , n ) |  | N = 0,1,2, ... K = 0,1, .., N n = 0,1, ..., N |  |  | 
| Bernoulli | X ~ Bern ( p ) |  | p | p (1- p ) | |
Advertising