En probabilidad y estadística, la distribución es una característica de una variable aleatoria, describe la probabilidad de la variable aleatoria en cada valor.
Cada distribución tiene una determinada función de densidad de probabilidad y una función de distribución de probabilidad.
Aunque hay un número indefinido de distribuciones de probabilidad, hay varias distribuciones comunes en uso.
La distribución de probabilidad se describe mediante la función de distribución acumulativa F (x),
que es la probabilidad de que la variable aleatoria X obtenga un valor menor o igual ax:
F ( x ) = P ( X ≤ x )
La función de distribución acumulada F (x) se calcula mediante la integración de la función de densidad de probabilidad f (u) de la variable aleatoria continua X.

La función de distribución acumulada F (x) se calcula sumando la función de masa de probabilidad P (u) de la variable aleatoria discreta X.

La distribución continua es la distribución de una variable aleatoria continua.
...
| Nombre de distribución | Símbolo de distribución | Función de densidad de probabilidad (pdf) | Media | Diferencia |
|---|---|---|---|---|
|
f X ( x ) |
μ = E ( X ) |
σ 2 = Var ( X ) |
||
| Normal / gaussiano |
X ~ N (μ, σ 2 ) |
|
μ | σ 2 |
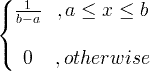
| Uniforme |
X ~ U ( a , b ) |
![]() |
|
|
| Exponencial | X ~ exp (λ) |
|
|
|
| Gama | X ~ gamma ( c , λ) |
![]() x / 0, c / 0, λ/ 0 |
|
|
| Chi cuadrado |
X ~ χ 2 ( k ) |
![]() |
k |
2 k |
| Wishart | ||||
| F |
X ~ F ( k 1 , k 2 ) |
|||
| Beta | ||||
| Weibull | ||||
| Logaritmo normal |
X ~ LN (μ, σ 2 ) |
|||
| Rayleigh | ||||
| Cauchy | ||||
| Dirichlet | ||||
| Laplace | ||||
| Exacción | ||||
| Arroz | ||||
| T de estudiante |
La distribución discreta es la distribución de una variable aleatoria discreta.
...
| Nombre de distribución | Símbolo de distribución | Función de masa de probabilidad (pmf) | Media | Diferencia | |
|---|---|---|---|---|---|
|
f x ( k ) = P ( X = k ) k = 0,1,2, ... |
E ( x ) | Var ( x ) | |||
| Binomio |
X ~ Bin ( n , p ) |
|
np |
np (1- p ) |
|
| Poisson |
X ~ Poisson (λ) |
|
λ ≥ 0 |
λ |
λ |
| Uniforme |
X ~ U ( a, b ) |
![]() |
|
|
|
| Geométrico |
X ~ Geom ( p ) |
|
|
|
|
| Hipergeométrico |
X ~ HG ( N , K , n ) |
![]() |
N = 0,1,2, ... K = 0,1, .., N n = 0,1, ..., N |
|
|
| Bernoulli |
X ~ Berna ( p ) |
![]() |
p |
p (1- p ) |
|
Advertising